888法脫硫分析對脫硫的重要性
脫(tuo)硫(liu)(liu)(liu)(liu)的(de)(de)方法(fa)很多,一般(ban)分(fen)為(wei)干法(fa)脫(tuo)硫(liu)(liu)(liu)(liu)(氧化(hua)鐵、活(huo)性炭、氧化(hua)鋅(xin)、氧化(hua)錳、水(shui)解劑、分(fen)子(zi)篩等(deng))和(he)(he)濕(shi)法(fa)脫(tuo)硫(liu)(liu)(liu)(liu)(循環(huan)法(fa)、氧化(hua)法(fa))兩大(da)類(lei),以(yi)濕(shi)式氧化(hua)法(fa)應(ying)用(yong)最為(wei)廣(guang)泛,而東獅公司(si)生產(chan)的(de)(de)888脫(tuo)硫(liu)(liu)(liu)(liu)催化(hua)劑以(yi)脫(tuo)高硫(liu)(liu)(liu)(liu)能力強、脫(tuo)硫(liu)(liu)(liu)(liu)全面(mian)有機硫(liu)(liu)(liu)(liu)脫(tuo)除率高、不積(ji)硫(liu)(liu)(liu)(liu)堵塔、費用(yong)低等(deng)顯(xian)著特點(dian)廣(guang)泛應(ying)用(yong)于化(hua)肥、化(hua)工、城市(shi)煤氣(qi)、焦爐氣(qi)等(deng)脫(tuo)硫(liu)(liu)(liu)(liu)領域。在生產(chan)過程(cheng)中(zhong),脫(tuo)硫(liu)(liu)(liu)(liu)液(ye)(ye)組分(fen)的(de)(de)分(fen)析(xi)承(cheng)擔著配合生產(chan)和(he)(he)指(zhi)導生產(chan)的(de)(de)作用(yong),是化(hua)工生產(chan)的(de)(de)眼(yan)睛(jing)和(he)(he)耳目(mu)。因此(ci),在脫(tuo)硫(liu)(liu)(liu)(liu)液(ye)(ye)組分(fen)分(fen)析(xi)方法(fa)的(de)(de)選擇(ze)上,必須做到快速、準確和(he)(he)小試樣量,規范和(he)(he)準確永(yong)遠是分(fen)析(xi)工作的(de)(de)靈魂。筆者(zhe)近年來一直(zhi)從事脫(tuo)硫(liu)(liu)(liu)(liu)方面(mian)的(de)(de)分(fen)析(xi)工作,在實(shi)踐(jian)中(zhong)深感分(fen)析(xi)工作的(de)(de)對實(shi)際生產(chan)的(de)(de)重要(yao)性,現把888脫(tuo)硫(liu)(liu)(liu)(liu)過程(cheng)中(zhong)的(de)(de)幾個(ge)分(fen)析(xi)方法(fa)及注(zhu)意要(yao)點(dian)介(jie)紹如下,不當之(zhi)處,請同(tong)行指(zhi)教。
888法脫硫(liu)過程(cheng)中(zhong)對脫硫(liu)液(ye)的分析主要有以(yi)下幾項:溶(rong)液(ye)的PH值(zhi)、888催化劑濃度、總 堿度、懸浮硫(liu)、副鹽(硫(liu)酸(suan)鈉、硫(liu)氰酸(suan)鈉、硫(liu)代(dai)硫(liu)酸(suan)鈉):
1 PH值
溶液(ye)的(de)(de)(de)(de)PH值(zhi)(zhi)隨總(zong)堿(jian)度(du)的(de)(de)(de)(de)增加而(er)(er)上升,隨溶液(ye)中(zhong)其它陰(yin)陽離子的(de)(de)(de)(de)改(gai)變而(er)(er)改(gai)變,但(dan)主(zhu)要還是(shi)碳酸(suan)氫鈉(na)和碳酸(suan)鈉(na)的(de)(de)(de)(de)當量比,(呈(cheng)反(fan)比一(yi)(yi)般應控制在4~6),當溶液(ye)中(zhong)總(zong)鈉(na)離子濃度(du)一(yi)(yi)定時,二氧(yang)化碳濃度(du)越大(da),碳酸(suan)氫鈉(na)摩爾比上升,PH值(zhi)(zhi)下降(jiang),故PH值(zhi)(zhi)最(zui)好控制在8.2~8.6之間(jian),PH值(zhi)(zhi)的(de)(de)(de)(de)測(ce)定是(shi)用(yong)(yong)酸(suan)度(du)計(ji)(ji)(ji)進(jin)行測(ce)定的(de)(de)(de)(de),而(er)(er)酸(suan)度(du)計(ji)(ji)(ji)在使(shi)用(yong)(yong)之前,先要標(biao)(biao)定,一(yi)(yi)般來說,酸(suan)度(du)計(ji)(ji)(ji)在連續(xu)使(shi)用(yong)(yong)時,每天都要標(biao)(biao)定一(yi)(yi)次,很多廠家在使(shi)用(yong)(yong)酸(suan)度(du)計(ji)(ji)(ji)時,一(yi)(yi)周或則一(yi)(yi)個月(yue)才進(jin)行一(yi)(yi)次標(biao)(biao)定,這樣(yang)使(shi)PH值(zhi)(zhi)的(de)(de)(de)(de)測(ce)定誤差很大(da),不能(neng)準確的(de)(de)(de)(de)表示脫硫液(ye)真實(shi)的(de)(de)(de)(de)PH值(zhi)(zhi),也(ye)就不能(neng)準確的(de)(de)(de)(de)知道生產,所以(yi)連續(xu)使(shi)用(yong)(yong)酸(suan)度(du)計(ji)(ji)(ji)時必須要每天標(biao)(biao)定一(yi)(yi)次。
2 總堿度
總(zong)(zong)監督的(de)測(ce)定利(li)用的(de)時(shi)酸(suan)(suan)堿(jian)中和(he)反應(ying),在(zai)指(zhi)示劑(ji)存在(zai)的(de)條件下用硫(liu)酸(suan)(suan)標準(zhun)溶(rong)液滴定,計算(suan)碳(tan)酸(suan)(suan)鈉(na)、碳(tan)酸(suan)(suan)氫鈉(na)的(de)含量(liang),進而計算(suan)出(chu)脫硫(liu)液的(de)總(zong)(zong)堿(jian)度(du),總(zong)(zong)堿(jian)度(du)只要能滿足氣體凈化出(chu)口(kou)指(zhi)標要求,控制低一些會(hui)對穩(wen)定工況(kuang),減少副鹽,降低阻力(li),再生熔硫(liu)帶(dai)出(chu)物減少等都十分有(you)利(li)。
3 懸浮硫
脫(tuo)硫(liu)(liu)(liu)液(ye)(ye)中高濃度的(de)懸浮硫(liu)(liu)(liu)容易造成堵塔及(ji)脫(tuo)硫(liu)(liu)(liu)液(ye)(ye)中副產(chan)物含量(liang)(liang)升高,影響正常(chang)生產(chan),必須對其(qi)進行定(ding)期(qi)抽查(cha)分析(xi)(xi),對懸浮硫(liu)(liu)(liu)的(de)分析(xi)(xi)方法(fa)一般主要(yao)時(shi)重量(liang)(liang)法(fa)和碘量(liang)(liang)法(fa),若脫(tuo)硫(liu)(liu)(liu)液(ye)(ye)中固體(ti)雜(za)質較多(duo)時(shi),重量(liang)(liang)法(fa)則不適(shi)應(ying),而(er)在(zai)碘量(liang)(liang)法(fa)分析(xi)(xi)懸浮硫(liu)(liu)(liu)含量(liang)(liang)時(shi),有(you)好多(duo)廠家分析(xi)(xi)的(de)含量(liang)(liang)偏(pian)高,主要(yao)是因(yin)為在(zai)洗(xi)滌硫(liu)(liu)(liu)代(dai)硫(liu)(liu)(liu)酸根(gen)(gen)離子時(shi)沒(mei)有(you)徹底洗(xi)滌,有(you)的(de)甚至不洗(xi)滌,硫(liu)(liu)(liu)代(dai)硫(liu)(liu)(liu)酸根(gen)(gen)離子要(yao)消耗(hao)一定(ding)量(liang)(liang)的(de)碘標準溶(rong)液(ye)(ye),而(er)從使(shi)計算結果偏(pian)高,所以對硫(liu)(liu)(liu)代(dai)硫(liu)(liu)(liu)酸根(gen)(gen)離子的(de)洗(xi)滌一定(ding)要(yao)徹底。在(zai)固體(ti)雜(za)質較少的(de)情(qing)況下建議(yi)使(shi)用重量(liang)(liang)法(fa)分析(xi)(xi),比較簡(jian)便快捷。
4 副鹽
科學的(de)講,在(zai)濕式氧(yang)化(hua)法脫硫(liu)中副鹽的(de)生成(cheng)是無法避免的(de),也就是說(shuo)它是客(ke)觀存(cun)在(zai)的(de),無論采用(yong)何種脫硫(liu)劑都不可消除和避免副鹽的(de)產生,如:
2HS-+2O2==H2O+S2O32-
2S2O32-+5O2==4SO42-
2HCN+Na2CO3==2NaCN+CO2+ H2O
HCN+ Na2CO3== NaCN+NaHCO3
NaCN+ Na2SX== NaCNS+ Na2S(X-1)
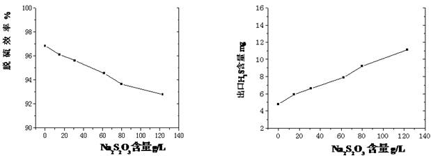
從以(yi)上化(hua)學反(fan)(fan)應(ying)式中(zhong)可以(yi)看出(chu),脫硫(liu)(liu)(liu)液(ye)(ye)中(zhong)的副反(fan)(fan)應(ying)所產(chan)生副鹽(yan)主(zhu)要有(you)(you)硫(liu)(liu)(liu)代硫(liu)(liu)(liu)酸鈉(na)、硫(liu)(liu)(liu)酸鈉(na)、硫(liu)(liu)(liu)氰酸鈉(na)三種,三種副鹽(yan)不但影(ying)響(xiang)硫(liu)(liu)(liu)化(hua)氫(qing)的平衡分壓,而(er)且由于它們在溶液(ye)(ye)中(zhong)的積(ji)累降低了有(you)(you)效(xiao)成(cheng)分的濃度,且從溶液(ye)(ye)中(zhong)析出(chu),破壞(huai)整單(dan)工藝條件,其(qi)生成(cheng)率高(gao)低與富液(ye)(ye)中(zhong)HS-含(han)(han)量、析硫(liu)(liu)(liu)再生,總堿(jian)度相(xiang)關連,另外再生溫度過(guo)高(gao),使其(qi)副反(fan)(fan)應(ying)更(geng)為劇烈,這是(shi)正常生產(chan)非(fei)常值得關注的一個問題(ti),通過(guo)實驗:改變副鹽(yan)含(han)(han)量時(shi),測定脫硫(liu)(liu)(liu)效(xiao)率,如圖一。
圖中表(biao)明隨著副(fu)鹽(yan)含量不(bu)斷升(sheng)高,脫硫效率均不(bu)斷下降,同(tong)時脫硫液副(fu)鹽(yan)含量對催化劑再生速度和硫浮選均有不(bu)同(tong)程度的(de)(de)影響,所(suo)以在(zai)分析過程中,對副(fu)鹽(yan)的(de)(de)分析是(shi)(shi)非常重(zhong)要(yao)的(de)(de),測定結果必須要(yao)準確(que)可(ke)靠,因各(ge)個(ge)廠家(jia)的(de)(de)情(qing)況不(bu)同(tong),也就是(shi)(shi)說副(fu)鹽(yan)含量各(ge)不(bu)相(xiang)同(tong),但分析方法與原理大致相(xiang)同(tong)。
5 888催化劑濃度的分(fen)析
催(cui)(cui)(cui)化(hua)劑濃(nong)度(du)(du)的(de)(de)分析(xi)對脫硫生產具有重要的(de)(de)指導作用,催(cui)(cui)(cui)化(hua)劑的(de)(de)濃(nong)度(du)(du)直接影響脫硫效率(lv),催(cui)(cui)(cui)化(hua)劑濃(nong)度(du)(du)分析(xi)的(de)(de)方(fang)法是比色(se)法,利用721型(xing)分光(guang)光(guang)度(du)(du)計(ji),分光(guang)光(guang)度(du)(du)計(ji)在使用時必須經(jing)過嚴格(ge)的(de)(de)校準,而(er)且分光(guang) 光(guang)度(du)(du)計(ji)應至于穩定(ding)的(de)(de)工作臺(tai)上(shang)(shang)避(bi)免震動,氣流和陽光(guang)照(zhao)射,應按照(zhao)說明書上(shang)(shang)的(de)(de)要求進(jin)行預熱,以保證測量數據的(de)(de)準確(que)性。
![]() |
圖一:不同Na2S2O3含量下的脫硫(liu)效率和(he)出(chu)口H2S含量
誤(wu)差(cha)是客觀存(cun)在不可避免(mian)的(de)(de),誤(wu)差(cha)可能出(chu)現在測定(ding)過程(cheng)的(de)(de)每(mei)一(yi)步驟中(zhong),影響著分(fen)(fen)(fen)析結果的(de)(de)準確性。因(yin)此分(fen)(fen)(fen)析工作者不僅要對(dui)試樣(yang)進行測定(ding),需要根據實際要求,對(dui)分(fen)(fen)(fen)析結果的(de)(de)可靠性和精確程(cheng)度(du)作出(chu)合理的(de)(de)評價和正確的(de)(de)表示,同時(shi)還應查明產生誤(wu)差(cha)的(de)(de)原因(yin)及其規律性,采取減免(mian)誤(wu)差(cha)的(de)(de)有效措施,總(zong)結經(jing)驗不斷(duan)提高(gao)分(fen)(fen)(fen)析測定(ding)的(de)(de)準確度(du),以便及時(shi)進行調節保證生產的(de)(de)正常(chang)進行。

使用微信“掃一掃”功能添加“谷騰環保網”