周邊進水沉淀池配水槽的設計計算
周邊進水沉淀池是一種新池型,它具有耐沖擊能力強、水力負荷高、沉降歷時短、沉淀區容積利用率高等優點,但其運行效果受配水槽配水均勻性的制約,若配水槽配水不均勻,則其優越性就難以體現,因而配水槽是周邊進水沉淀池的關鍵部位。目前常用的配水槽設計方法有等孔距法和變孔距法兩種。
1 設計方法
① 變孔距法
變孔距法是將配水槽分為變寬段和等寬段,配水槽寬度在變寬段沿程逐漸減少直至等寬段,這樣環槽水流在槽內流速基本保持不變,從而最大限度地降低環槽流速。槽內水深在變寬段沿程減少,到達等寬段后由于壅水現象水深又沿程微增。為了防止污泥在槽內因流速過小而沉積,應按最小時流量和最小允許流速確定配水槽起始寬度,使得任何流量下流速v都能大于最小流速。按平均時流量計算槽內各點水深并繪出相應的水面曲線圖,以水面曲線 落差(dH)約1cm將水面曲線分為若干段,計算出每一段內的平均配水頭和單孔泄流量,最后計算出每一段的平均孔距和孔數。
② 等孔距法
等孔距法與變孔距法以提高配水均勻穩定性為目標、最大限度降低環槽流速的設計思路不同,它強調保持槽內水深沿程不變(即H=H0),水面沿程為水平線,槽內外水位差沿程不變,由此可知配水槽內各點配水頭也沿程不變。由孔口出流量q=μA(2gZ)1/2可得各孔出流量都相等,孔口數m=Q0/q,配水孔平均間距C=L0/m(常數)。
③ 兩種方法比較
采用等孔距法設計的配水槽布水孔沿池周均勻分布并與池中心對稱,幾何特性好,但二沉池配水槽內的水流運動屬于緩流,其Fr=V/(gL)1/2<1,由此可見水流動能沿程減少,勢能必然增加,但其增加的速率比機械能損失量快,于是出現了流量沿程減少而 水流沿程壅高,這和配水均勻性相矛盾。因此必須沿程增加槽寬或變化槽底坡度以減少壅水高度ΔH。考慮到施工方便,一般采用改變槽寬來保持水深沿程不變。但由于壅水曲線 不是直線變化,而是沿程變化復雜,因此不易保證施工精度。另外槽內流速沿程減少,不利于在保證速度vmin≥0.3m/s的前提下降低速度v,當取末端流速為0.3m/s時,前端流速>0.3m/s,而且越靠近起點流速越大,因而受施工精度、流量變化影響較大,配水均勻穩定性較差。
變孔距法雖沒有等孔距法幾何對稱的優點,但它能夠最大限度地降低流速使得計算結果與實際相符合。配水槽變寬段的槽寬沿直線變化,施工容易,而且配水均勻基本不受日常流量變化的影響,因此變孔距法較等孔距法配水的穩定性和可靠性都會增強。
2 配水槽變孔距法的設計計算
① 配水槽寬度B計算
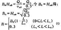
為了防止混合液在配水槽內發生淤積,環槽流速不應低于0.3m/s[1]。為方便施工,配水槽底宜采用平底,布水孔的孔徑要一樣大,槽寬不宜小于0.3m。因此令變寬段vm0=0.3m/s,等寬段B=0.3m,按最小流量Qm確定配水槽寬度得:
![]() |
變寬段長度Lc=(1-0.3/B0)L0,等寬段長度LE=0.3/B0L0。
② 布水孔間距
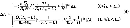
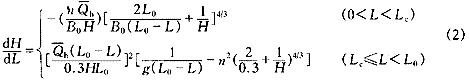
按平均時流量Qh確定布水孔間距,把式(1)代入能量微分方程,且因流速v較小,將gH-v2≈gH,則能量微分方程可化為:
![]() |
對應于Qh的起點水深Hh0為:
Hh0≈Hm0+[1-(Hh0Qm/Hm0Qh)2]Zh0 (3)
選擇合適的配水水頭Zh,解式(3)方程確定相應的Hh0,代入式(2)求出H并作出水面曲線H,則距起點Li處的配水水頭Z=Zh0+Hi-Hh0。該點設布水孔時,對應的單孔泄流量q由孔口的孔徑d和孔上配水水頭所決定,即qi=μA[KF(]2gZi[KF)],孔距C=L0/(Qh/qi)。其中μ為流量系數,A為布水孔口斷面面積。
3 應用實例
3.1 基本計算條件
某城市污水采用活性污泥法處理,二沉池采用周邊進水輻流式沉淀池,根據表面負荷率要求已定沉淀池直徑D=36m,由配水井進入配水槽的流量Qh=1875m3/h,為了施工方便,配水槽底坡i=0。
① 周邊進水沉淀池一般用作大、中型污水處理廠二沉池,流量變化不大,Qm/Qh≥0.5,現取Qm=0.6×Qh=1125m3/h。
② 布水孔孔徑d的確定
在給水中采用孔口配水時孔徑一般為100mm,但周邊進水沉淀池多用于污水處理廠二沉池,二沉池進水懸浮物很多,其混合液濃度都在2000mg/L~4000mg/L之間,且絮凝性能較好。為了避免堵塞孔口,配水孔的孔徑采用d=100~200mm為宜。本例采用d=100 mm。
③ 配水槽為矩形過水斷面,設槽內允許流速vm=0.3m/s:
B0=Hm0=(Qm/0.3)1/2=1.02m
④ 等寬段槽寬B=0.3m,長度Lc,變寬段長度IE,則:
LE=(1-0.3/B0)×L0=79.83m
Lc=L0-LE=33.27m
當L≤LE時,B=B0×(1-L/L0)=1.02×(1-L/L0),當LE<L≤L0時B=0.3m。
⑤ 計算對應于Qh的起點水深Hp0
把式(3)化為Hn+1h0=Hm0+[(1-Hn0×Qm)/Hm0×Qh)2]×Zh0,對該方程采用循環迭代法求解,直至|Hn+1h0=Hhh0|<ε。現取初值H0h0=1.0m、Zh0=0.1m、控制因子ε=0.01,經計算得Hh0=Hn+1h0=1.0839m。
⑥ 配水槽水面曲線
將整個計算長度(沉淀池周長)分為若干段,對每一小段而言,可以把式(2)化為:
![]() |
Hi+1=Hi+ΔH(i=1,Λ,nn)
式中 nn——配水槽等分段數
ΔH——相鄰兩段水位差
ΔL——相鄰兩段長度
取長度步長ΔL=0.01m,H0=Hh0,就可計算出配水槽水面高度H,計算結果如圖1所示。
![]() |
⑦ 計算孔距Ci和孔數mi
根據繪出的水面曲線圖,按水面曲線落差為1cm將其分為三段,確定各段的長度Li和配水頭Zi,qi、Ci和mi的計算如下:qi=μA(2gZi)1/2,Ci=L0/(Qh/qi),mi=li/Ci,其中取流量系數μ=0.062。
3.2 計算結果及分析
各段計算結果如表1所示。
表1 配水槽計算結果
|
則計算配水槽進水流量為0.5225m3/s。
平均流量qi=mi×(qi/Li)。
計算結果的影響因素分析:
① 配水槽中水流除受重力、浮力和阻力作用外,同時受到離心力的作用而產生螺旋流,水流紊動加大使布水孔的流量減少,造成實際情況與計算有一定的差異。在沉淀池直徑較大、配水槽內水流流速較小的情況下,計算結果才比較接近實際;
② 配水槽中的粗糙系數n一般在0.012~0.014之間,不容易精確估計,因而也會給計算結果帶來一定的誤差;
③ 實際水流環槽圓周流動且流動中沿布水孔泄流,屬于明渠非均勻流,但計算中將它簡化為直線漸變流,因而造成一定的誤差;
④ 計算中認為配水槽斷面上各點流速大小相等,但實際中由于液體的粘滯性和池壁的阻滯作用及離心力作用,斷面上各點流速大小不相等,水流最大流速偏向槽外緣。鑒于這種情況,只有在水流平均流速較小、池直徑較大時,實際同理想狀態才比較一致。
4 結論
① 變孔距法配水的穩定性和可靠性比等孔距法好,基本不受日常流量變化影響,且能夠很好滿足配水均勻性的要求。
② 變孔距法強調流速基本不變,能夠最大限度降低環槽流速,使計算結果與實際情況更加吻合。
③ 采用變孔距法設計配水槽時,槽寬沿程直線變化,易施工,而且可以把配水槽和集水槽合建,總寬度沿程不變。
參考文獻:
[1]陸少鳴,楊立,徐以時. 周邊進水沉淀池系統工藝設計[J].中國給水排水,1995,11(2):33-36.
[2]張智.周邊進水沉淀池配水設計的若干問題[J].中國給水排水,1990,6(2):7-10.
[3]袁方,馬杰.關于周邊進水沉淀池配水槽設計的討論[J].中國給水排水 ,1987,3(4):33-36.
[4]熊國立.周邊進水沉淀池配水槽的水力設計[J].中國給水排水,1994,10(3):34-36.
[5]陳水娣.沉淀池配水槽的水面線分析與水力設計[J].給水排水,1996,22 (6):5-10.

使用微信“掃一掃”功能添加“谷騰環保網”