城市污水處理廠是城市的重要基礎設施,也是目前國內外用以“防治污染,保護環境”的重要措施之一。隨著城市建設的發展,工業區的開發,新區住宅建設速度的加快,各地都在新建一批污水處理廠,并考慮原有污水廠如何改建和繼續發揮其效益。由于早期的污水處理廠規模都比較小,而且效益低,隨著城區的擴大,這些污水處理廠的去留問題如何解決,是人們普遍關注的問題。本文旨在建立一套綜合評價體系,并對上海市現有的11座污水處理廠進行了評價。
1 規劃評價系統
全國大多數污水處理廠都不同程度地存在著多年來缺乏改造資金、年久失修、工程不配套等問題,實際處理量往往與設計要求相差甚遠,若針對各個廠的現狀從土建、設備、電氣、儀表等方面進行深入分析,適當投入一定數量的資金加以改造,其污水處理能力可能會大大提高。改造投資規劃目標應滿足投資少、見效快、近遠期結合,提高綜合效益的要求。評價體系如下:
1.1 污水處理廠與其它排水系統的相關位置u1(m)
隨著城市的高速發展,污水處理和排水設施等越來越向集約化和大型化方向發展,原有的污水處理廠因規模小、設備落后等原因,有可能被周圍一定范圍內的在建或待建的大型污水處理廠或大型污水輸送管道所取代(例如上海市的污水合流工程)時,此類廠應予以報廢。
1.2 現有污水處理廠廠區占地面積u2(畝,1畝≈666m2)
廠區現有面積越大越便于該廠的擴建,廠家可節省土地征用費,利于投資改造。
1.3 廠區周圍的人口密度u3(100人/ha)
廠區周圍的建筑與人口密度過高,尤其是新建住宅因城區的擴大,實際上已包圍了該污水處理廠,對居民生活環境產生不利影響,擴建變得十分困難。這種類型的廠應遷出,不予繼續追加投資。
1.4 廠外設施u4(分)
污水處理廠服務區內的地下排水管道的設置,應與廠內污水處理能力相匹配,否則其污水處理廠的潛力得不到合理的發揮,此時應加大投資,改造完善廠外管道和泵站等。
1.5 污水日處理量與原設計日處理量的差距u5(m3/d)
污水處理廠的現有日處理量若與原設計量相差較大,說明該廠的設施未按照原設計配套,或某些生產環節存在問題,造成該廠不能充分發揮其潛力,應首先對其考慮追加投資。
1.6 污泥處理的難易程度u6(分)
污泥的處理與外運,對污水處理廠的處理量影響較大,其難易程度主要依賴于該廠是否具備脫水設施、離開郊區的遠近、污泥量的大小以及運輸的方便程度。污泥處理困難的廠,一般無發展前途,故不宜多投資。
1.7 改造投資率u7(100元/m3污水)
改造投資率是指投入的改造資金與該廠通過改造后所達到的最大污水處理量之比,比值越大,說明污水處理的代價越高,從投資的角度分析越不利。
1.8 投產年代長短u8(a)
污水處理廠的建造一般與城市的發展同步,建造年代久遠,其設備、設施則更為陳舊,生產工藝也往往更為落后,改造的代價也就越高,追加投資的可能性不大。
1.9 污水處理廠直接排入的水體u9(分)
為防止污染城區的主要河流,污水處理廠的排放口一般布置在河流下游,并遠離市區,因人口增加、城區擴大,當其出水轉移到其他輸送管道的可能性不大時,原來的排放口不得不外遷至更遠的地方。此種處理廠發展前途不大,不宜考慮增加投資。
1.10 運行成本u10(元/m3污水)
一般說來,污水處理運行成本過高的廠,從經濟上分析,擴大再投資是不合適的,應慎重考慮。
必須指出,上述各因素基本上已排除了相關性,在利用各因素對污水處理廠進行評價時,只須分別單獨考慮。
1.11 污水處理的效果u11、u12、u13(%)
處理效果是指經污水處理廠處理后BOD5、NH3-N、SS的處理效果是否已達到國家規定的排放標準,效果越差的廠應重點加以投資改造。設BOD5、NH3-N、SS的去除率(%)分別為u11、u12、u13。
2 模糊綜合評價
為便于分析,此處引用Fuzzy數學,以建立模糊綜合評價模型。根據上述規劃評價系統,其論域為U={u1,u2,…,u13}式中各符號意義見前述。
決擇集為V={v1,v2,v3,v4},即V={好,中,差,極差}
評價空間為μ=(u,v,R),其中,R為F(U)到F(V)的一個Fuzzy變換,也就是從U到V的一個Fuzzy關系,即R是u×v上的一個Fuzzy子集。
本文針對上海市區現有污水處理廠的狀況,在調查分析的基礎上,結合國家現有規范標準,通過專家定量打分,確定Fuzzy關系R,具體程序如下:
2.1 級別的確定
據實際統計結果作相對的劃分,如表1所示。
表1 級別的劃分
U
|
V
|
v1
|
v2
|
v3
|
v4
|
u1
|
4 000以上
|
2 500~4 000
|
500~2 500
|
500以下
|
u2
|
80以上
|
60~80
|
30~60
|
30以下
|
u3
|
3.0以下
|
3.0~3.3
|
3.3~3.50
|
3.50以上
|
u4
|
9以上
|
6~9
|
3~6
|
3以下
|
u5
|
50 000以上
|
30 000~50 000
|
10 000~30 000
|
10 000以下
|
u6
|
9以上
|
6~9
|
3~6
|
3以下
|
u7
|
2.0以下
|
2.0~3.0
|
3.0~4.0
|
4.0以上
|
u8
|
10以下
|
10~20
|
20~30
|
30以上
|
u9
|
9以上
|
6~9
|
3~6
|
3以下
|
u10
|
0.46以下
|
0.46~0.6
|
0.6~0.8
|
0.8以上
|
u11
|
88以下
|
88~90
|
90~92
|
92以上
|
u12
|
85以下
|
85~88
|
88~90
|
90以上
|
u13
|
24以下
|
24~42
|
42~60
|
60以上
|
|
注:*由專家評估給出(10分制),最高得10分,最低得1分。
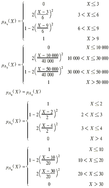
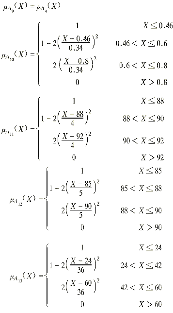
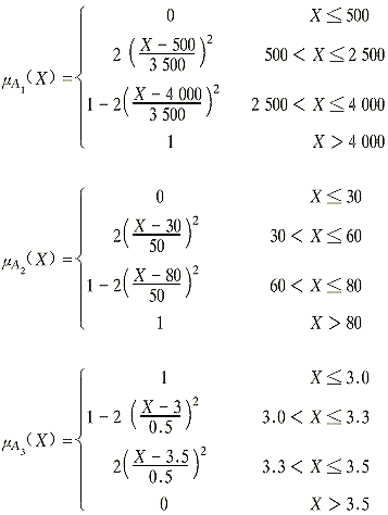
2.2 確定評價因素的Fuzzy集
根據原始數據分別確定各個因素的Fuzzy集A1,A2,…,A13。設論域X依次為u1(m)、u2(畝),…,u13(%),Fuzzy集A1,A2,…,A13相應的隸屬函數依次被定義為
2.3 確定U×V的Fuzzy子集R R=(rij)13×4
其中,rij表示從第i個因素的角度,對被評對象作出第j種評語的可能程度。R通常由專家打分統計而定出。由于以上13個評價因素對污水處理廠去留問題的評判結果的影響程度不同,即各因素所對應的權重不同,專家組對被評對象所控制的寬松程度也就不同,例如,有的專家認為某些因素特別重要,要嚴格掌握等,而另外的專家則不然。
根據統計,得到如下Fuzzy關系矩陣R,rij各值如表2所示。
表2 rij各值
vj
|
v1
|
v2
|
v3
|
v4
|
rij
|
ui
|
u1
|
0.16
|
0.20
|
0.38
|
0.26
|
u2
|
0.20
|
0.18
|
0.24
|
0.38
|
u3
|
0.64
|
0.20
|
0.08
|
0.08
|
u4
|
0.52
|
0.28
|
0.07
|
0.13
|
u5
|
0.14
|
0.16
|
0.36
|
0.34
|
u6
|
0.68
|
0.20
|
0.10
|
0.02
|
u7
|
0.70
|
0.18
|
0.06
|
0.06
|
u8
|
0.28
|
0.25
|
0.27
|
0.20
|
u9
|
0.60
|
0.24
|
0.10
|
0.06
|
u10
|
0.58
|
0.22
|
0.14
|
0.06
|
u11
|
0.06
|
0.24
|
0.30
|
0.40
|
u12
|
0.03
|
0.17
|
0.20
|
0.60
|
u13
|
0.02
|
0.22
|
0.15
|
0.61
|
|
若某一污水處理廠各評價因素的原始數據已被測定為A=(a1,a2,…,a13)則根據ai(i=1,2,…,13)的值,分別在Ai(i=1,2,…,13)中求得相應的隸屬度值μAi(ai),于是A被模糊化為Fuzzy集A=μA1(a1),μA2(a2),…,μA13(a13)按A∈F(U)→B=A.R∈F(V)則可得該污水廠的綜合評價為B=(μB1(v1),μB2(v2),μB3(v3),μB4(v4))對其進行歸一化,然后取隸屬度最大者作為綜合評判的結論。
3 上海城市污水處理廠的改造問題
上海是我國最早建造污水處理廠的城市,目前市區正常運行的污水處理廠有11座,由于多年來缺乏改造和維修資金,實際處理能力大大萎縮,1996年處理污水能力25萬m3/d~26萬m3/d,與原設計能力48萬m3/d相差較遠。要使污水處理廠達到設計的水量,除對廠外管網作改造外,還必須投入一定數量的資金,解決污水廠生產流程和設備上積累起來的問題。改造的目標是:處理能力達到48萬m3/d,水質參數:BOD5進水180mg/L~220mg/L,出水20mg/L~30mg/L;SS進水180mg/L~270mg/L,出水20mg/L~30mg/L。采用的工藝主要是活性污泥法,部分廠還采用A/O脫氮工藝等。
3.1 各污水處理廠的現狀
對11座污水處理廠進行了調查,結果見表3。
表3 11座污水處理廠情況調查結果
廠名
|
東廠
|
曹楊
|
北郊
|
閔行
|
曲陽
|
天山
|
龍華
|
泗塘
|
程橋
|
吳淞
|
長橋
|
因素
|
相關位置u1/m
|
3 900
|
300
|
2 500
|
1 000
|
500
|
1 200
|
900
|
2 100
|
2 400
|
1 500
|
1 300
|
占地面積u2/畝
|
40
|
40
|
24
|
45
|
58
|
68
|
83.5
|
31.9
|
10
|
104
|
63.8
|
人口密度u3/100人/ha
|
3.68
|
4.05
|
3.80
|
0.73
|
3.45
|
3.32
|
3.00
|
3.22
|
3.6
|
1.60
|
2.00
|
廠外設施評分u4/分
|
6
|
3
|
1
|
9
|
2
|
3
|
4
|
8
|
4
|
10
|
5
|
處理量差距u5/103m3/d
|
5
|
13
|
5
|
8
|
40
|
42
|
75
|
4
|
2
|
20
|
12
|
污泥處理難易評分u6/分
|
3
|
5
|
5.5
|
10
|
6
|
2
|
6
|
4
|
1
|
9
|
10
|
投資率u7/100元/m3
|
3.49
|
3.29
|
5.67
|
2.0
|
3.01
|
2.91
|
3
|
3.87
|
3.27
|
0.87
|
1.65
|
投產年代長短u8/a
|
73
|
44
|
30
|
20
|
14
|
12
|
13
|
8
|
10
|
8
|
7
|
出水排入水體評分u9/分
|
6
|
2
|
4
|
10
|
3
|
5
|
7
|
9
|
1
|
10
|
8
|
運行成本u10/100元/m3
|
0.79
|
0.89
|
1.09
|
0.46
|
0.50
|
0.46
|
0.47
|
0.47
|
0.93
|
0.64
|
0.40
|
BOD5去除率u11/%
|
90.9
|
95.6
|
87.8
|
98.0
|
92.6
|
91.3
|
87.9
|
86.4
|
92.7
|
92
|
87.8
|
SS去除率u12/%
|
83.5
|
94.6
|
81.8
|
98.1
|
86.9
|
91.1
|
88.7
|
90
|
93.0
|
91
|
89
|
NH3-N去除率u13/%
|
10.3
|
3.75
|
9.6
|
60
|
31.1
|
40.8
|
65.7
|
45
|
27.2
|
68.4
|
54
|
|
3.2 Fuzzy化處理及模糊運算
將表3中的第一列數據進行模糊處理后得
μA1(a1)=0.998, μA2(a2)=0.08,
μA3(a3)=0, μA4(a4)=0.50,
μA5(a5)=0, μA6(a6)=0,
μA7(a7)=0.125, μA8(a8)=0,
μA9(a9)=0.5, μA10(a10)=0.002,
μA11(a11)=0.125, μA12(a12)=1,
μA13(a13)=1
A(東廠)=(0.1,0.08,0,0.5,0,0,0.125,0,0.5,0.002,0.125,1,1)根據B=A.R,可得 B(東廠)=A(東廠).R=(0.5,0.28,0.2,0.61)
歸一化處理后得:
B(東廠)=(0.31,0.18,0.125,0.38)
同理得:
B(吳淞)=(0.43,0.17,0.17,0.23)
B(長橋)=(0.43,0.15,0.16,0.25)
B(閔行)=(0.49,0.20,0.19,0.12)
B(程橋)=(0.18,0.16,0.25,0.40)
B(龍華)=(0.39,0.15,0.22,0.24)
B(泗塘)=(0.37,0.17,0.23,0.25)
B(天山)=(0.35,0.14,0.20,0.31)
B(曲陽)=(0.32,0.14,0.20,0.34)
B(北郊)=(0.22,0.15,0.24,0.39)
B(曹楊)=(0.20,0.18,0.12,0.50)
3.3 評價結果
根據前述的評價系統,利用模糊評判的方法,將11座污水處理廠的評判結果,按照決擇集V={好,中,差,極差}所得的相應隸屬度值,從好到差排列后,得到表4。
表4 評價結果及改造費用
廠名
|
閔行
|
吳淞
|
長橋
|
龍華
|
泗塘
|
天山
|
曲陽
|
東廠
|
北郊
|
曹楊
|
程橋
|
排序
|
1
|
2
|
3
|
4
|
5
|
6
|
7
|
8
|
9
|
10
|
11
|
隸屬
度值
|
好
|
0.49
|
0.43
|
0.43
|
0.39
|
0.37
|
0.35
|
0.32
|
0.31
|
0.22
|
0.20
|
0.18
|
差
|
0.12
|
0.23
|
0.25
|
0.24
|
0.25
|
0.31
|
0.34
|
0.38
|
0.39
|
0.50
|
0.40
|
規劃服務
年限/a
|
>15
|
15
|
10
|
5
|
改造費
/萬元
|
4 617
|
217
|
365
|
1 074
|
774
|
1 743
|
1 656
|
1 187
|
1 021
|
789
|
163
|
|
按評價結果11座污水處理廠被劃分為4類:一類為長期保留,規劃服務年限為15a以上,此類排水系統污水處理功能比較完善,廠區擴展余地大,地理位置優越;二類規劃服務年限為15a(從現在開始),條件比較好,有一定發展前途,但長期存在的可能性不大;三類為條件較差,但在相當長一段時期內又無法由其他污水處理系統代替者,服務年限定為10a:四類無發展前途,與城市建設的矛盾大,周圍居民反映強烈,其管轄的服務范圍無條件并入其它處理系統,服務年限定為5a。
改造投資費用的估算(見表4)是在對上述各廠進行詳細調查后提出的,主要包括土建、設備、電氣、儀表以及設計、管理、銀行貸款、工程預備等費用,且按近期一次性集中到位。盡管四類廠處在報廢的邊緣,但因近期還無法被其他污水處理系統所代替,在不至于造成城區水質環境繼續惡化的前提下,對其追加改造投資還是符合實際的。而對于其他各類廠還要考慮對其實施中、長期的改造投資,僅靠近期的一次性投資是不夠的。
4 結論與建議
本文所建立的城市污水處理廠改造規劃評價系統與模糊評判方法,通過對上海城區11座污水處理廠的評價結果,與專家們的意見比較一致,評價系統得到了驗證。分析還表明:因污水處理廠的投資與運轉成本較高,根據我國國情決定了各大城市的污水處理必須采用分散與集中相結合的方法,加強對現有污水處理廠的分期改造,在保證污水排放水質達標的前提下,可以實現資金的優化投入。隨著我國城市化速度的加快,對污水處理廠實施科學評價、動態管理,不斷地加強投資改造,逐步提高污水處理能力是符合實際的。
聲明:轉載此文是出于傳遞更多信息之目的。若有來源標注錯誤或侵犯了您的合法權益,請作者持權屬證明與本網聯系,我們將及時更正、刪除,謝謝。

使用微信“掃一掃”功能添加“谷騰環保網”