周進周出二沉池設計之探討
沉(chen)(chen)(chen)淀(dian)(dian)池(chi)(chi)是水(shui)處理工程中常用的(de)(de)(de)構(gou)筑物,為提高水(shui)處理能力、穩定出水(shui)水(shui)質、降低(di)運行成本(ben)和控制基建投資(zi),各種類型的(de)(de)(de)沉(chen)(chen)(chen)淀(dian)(dian)池(chi)(chi)都有了較大的(de)(de)(de)改進(jin)和革新(xin)。筆(bi)者在某污水(shui)處理廠工程的(de)(de)(de)設計(ji)中,針對出水(shui)水(shui)質要(yao)求高、用地面積少(shao)的(de)(de)(de)情況,二沉(chen)(chen)(chen)池(chi)(chi)選(xuan)(xuan)用了圓形周(zhou)邊(bian)進(jin)水(shui)周(zhou)邊(bian)出水(shui)幅流式(shi)沉(chen)(chen)(chen)淀(dian)(dian)池(chi)(chi)。該工程總設計(ji)規模17×104m3/d,近期實施(shi)10×104m3/d。4座周(zhou)進(jin)周(zhou)出的(de)(de)(de)沉(chen)(chen)(chen)淀(dian)(dian)池(chi)(chi)作二沉(chen)(chen)(chen)池(chi)(chi),單池(chi)(chi)處理能力Qd=3.25×104m3/d。下文對周(zhou)進(jin)周(zhou)出沉(chen)(chen)(chen)淀(dian)(dian)池(chi)(chi)的(de)(de)(de)選(xuan)(xuan)擇及配水(shui)系統的(de)(de)(de)設計(ji)談一些具體做法(fa)。
1 周進(jin)周出與(yu)中進(jin)周出沉淀(dian)池的(de)比較(jiao)
1.1 沉(chen)淀區的(de)(de)流(liu)態 二(er)次沉(chen)淀池進水(shui)為(wei)活性(xing)污泥混(hun)合(he)液,懸浮(fu)物固體MLSS的(de)(de)質(zhi)量(liang)濃度(du)在(zai)3000-4000mg/L之間,遠高(gao)于池內的(de)(de)澄清水(shui)。由于二(er)者間的(de)(de)密度(du)差、溫度(du)差而存(cun)在(zai)二(er)次流(liu)和(he)(he)異重流(liu)現象。中進周出和(he)(he)周進周出兩種不同(tong)池型內的(de)(de)混(hun)合(he)液流(liu)態各不相同(tong),詳見圖(tu)1與圖(tu)2:
在(zai)(zai)中(zhong)(zhong)進(jin)式沉淀(dian)池(chi)(chi)中(zhong)(zhong),活性污泥混合液(ye)從池(chi)(chi)中(zhong)(zhong)心(xin)進(jin)水管以相對(dui)較高的流(liu)(liu)(liu)速(su)進(jin)入池(chi)(chi)內(nei),形(xing)(xing)成渦(wo)流(liu)(liu)(liu),經布水筒(tong)逐(zhu)漸(jian)下降到(dao)污泥層上(shang),再沿沉淀(dian)區中(zhong)(zhong)部(bu)(bu)向池(chi)(chi)壁方向流(liu)(liu)(liu)動并壅(yong)起環流(liu)(liu)(liu)。分(fen)離出(chu)的澄清水部(bu)(bu)分(fen)溢流(liu)(liu)(liu)入出(chu)水槽(cao),部(bu)(bu)分(fen)在(zai)(zai)上(shang)面從池(chi)(chi)邊向池(chi)(chi)中(zhong)(zhong)心(xin)回流(liu)(liu)(liu);密度大的混合液(ye)則在(zai)(zai)下面從池(chi)(chi)邊向池(chi)(chi)中(zhong)(zhong)心(xin)流(liu)(liu)(liu)動,形(xing)(xing)成了(le)(le)反向流(liu)(liu)(liu)動的環流(liu)(liu)(liu)。這種環流(liu)(liu)(liu)不利于(yu)沉淀(dian),限(xian)制(zhi)了(le)(le)池(chi)(chi)子(zi)的水力負荷。
而在周(zhou)邊(bian)進(jin)水(shui)周(zhou)邊(bian)出水(shui)的沉(chen)淀(dian)(dian)池(chi)中,密(mi)度(du)流的方向(xiang)與(yu)中心進(jin)水(shui)式相反(fan)。混合液經進(jin)水(shui)槽(cao)配水(shui)孔(kong)管(guan)流入導流區后(hou)經孔(kong)管(guan)擋板折流,下降(jiang)到(dao)池(chi)底污泥(ni)面(mian)上并沿泥(ni)面(mian)向(xiang)中心流動,匯(hui)集后(hou)呈一個平面(mian)上升,在向(xiang)池(chi)中心匯(hui)流和上升過程中分離出澄清水(shui),并反(fan)向(xiang)流到(dao)池(chi)邊(bian)的出水(shui)槽(cao),形成大環形密(mi)度(du)流,污泥(ni)則沉(chen)降(jiang)到(dao)池(chi)底部。因此,周(zhou)進(jin)周(zhou)出沉(chen)淀(dian)(dian)池(chi)的異重流流態(tai)改變了(le)沉(chen)淀(dian)(dian)區的流態(tai),有利于固液分離。
1.2 容積利用率
異(yi)重流(liu)現象在中進式沉淀池中會(hui)形成短流(liu),部分容積(ji)沒(mei)有得到(dao)有效利(li)用,池子的實際負荷比設(she)計負荷大得多。而周進式由于大環形密度(du)流(liu)的形成,容積(ji)利(li)用率(lv)要高得多。
對應(ying)進。出水槽(cao)位置的不同,中心進水與周邊(bian)進水沉(chen)淀池(chi)的容積利用率各不相同,詳見表(biao)1。
|
1.3 導流筒(tong)的作用
中(zhong)(zhong)進(jin)(jin)式中(zhong)(zhong)心(xin)導流(liu)(liu)商(shang)內的(de)(de)流(liu)(liu)速相對較高,常在(zai)0.1m/s以(yi)上,水(shui)流(liu)(liu)向(xiang)下流(liu)(liu)動(dong)的(de)(de)動(dong)能大(da),易沖擊底部污(wu)(wu)泥(ni),活性(xing)(xing)污(wu)(wu)泥(ni)在(zai)其間難以(yi)形成絮(xu)凝、澄清作用(yong)。而周(zhou)進(jin)(jin)式由于池周(zhou)長,過水(shui)斷面大(da),進(jin)(jin)水(shui)流(liu)(liu)速小(xiao)得多(duo)。流(liu)(liu)速小(xiao),雷諾(nuo)數和(he)弗勞德數都(dou)(dou)比中(zhong)(zhong)迸式小(xiao),雷諾(nuo)數小(xiao),慣性(xing)(xing)作用(yong)小(xiao);弗勞德數小(xiao),粘滯力作用(yong)大(da),這些(xie)都(dou)(dou)有效(xiao)地促進(jin)(jin)了簡(jian)內流(liu)(liu)態向(xiang)層流(liu)(liu)發展,產生同向(xiang)流(liu)(liu),促使活性(xing)(xing)污(wu)(wu)泥(ni)下沉。同時,由于活性(xing)(xing)污(wu)(wu)泥(ni)層的(de)(de)吸(xi)(xi)附澄清作用(yong),混(hun)合液中(zhong)(zhong)的(de)(de)污(wu)(wu)泥(ni)顆粒不斷與(yu)懸浮(fu)層中(zhong)(zhong)的(de)(de)活性(xing)(xing)污(wu)(wu)泥(ni)碰撞、吸(xi)(xi)附、結合、絮(xu)凝,產生良好的(de)(de)澄清作用(yong),提高了沉淀效(xiao)果(guo)。
2 周(zhou)進式二沉(chen)池配水均勻性分析
沉淀池的(de)(de)(de)處理(li)效果與池表面負(fu)荷(he)及水(shui)(shui)力停(ting)留(liu)時間有關。對于(yu)周(zhou)進式二沉池,還有一個關鍵(jian)因(yin)素(su)就是(shi)配水(shui)(shui)系統的(de)(de)(de)均勻穩定(ding)性,只有沿圓周(zhou)各點的(de)(de)(de)進、出水(shui)(shui)量一致,布水(shui)(shui)均勻,才能充分發揮該池型(xing)的(de)(de)(de)優(you)點。
周進(jin)式沉淀池(chi)環形(xing)布水(shui)、均勻出流(liu)(liu)的水(shui)力(li)學模型比較復(fu)雜(za),在計算(suan)中,因池(chi)直徑D遠大(da)于配水(shui)槽(cao)槽(cao)寬(kuan)B,圓弧(hu)的影(ying)響忽略不計,配水(shui)槽(cao)簡化為校柱形(xing)水(shui)渠,水(shui)流(liu)(liu)為沿程底孔(kong)泄流(liu)(liu)的直線漸(jian)變流(liu)(liu)。計算(suan)示(shi)意圖見(jian)圖3。
均勻配(pei)水,距進(jin)水點(dian)L段上(shang)對應的流量為:
Q=Q0(1-L/L0)
孔口出流量:
q=μ.ω(2gZ)0.5
配水水頭Z=H-H池,為槽(cao)內水位(wei)與池液位(wei)差。
槽內水(shui)流(liu)能量微分方程(cheng)為:
dH+(dV2/2g)+idL=0
影(ying)響配(pei)(pei)(pei)(pei)水(shui)(shui)(shui)系(xi)統均勻性(xing)q/Q0的因素較多,有(you)進水(shui)(shui)(shui)流量(liang)Q0、配(pei)(pei)(pei)(pei)水(shui)(shui)(shui)槽(cao)槽(cao)寬(kuan)B、槽(cao)內水(shui)(shui)(shui)深H、流速廠(chang)配(pei)(pei)(pei)(pei)水(shui)(shui)(shui)孔徑d、孔距l等。通(tong)過對各(ge)設計(ji)(ji)參數的取定(ding)(ding),有(you)不同(tong)的處理(li)方法,雙向(xiang)對流配(pei)(pei)(pei)(pei)水(shui)(shui)(shui)或單向(xiang)環槽(cao)配(pei)(pei)(pei)(pei)水(shui)(shui)(shui),配(pei)(pei)(pei)(pei)水(shui)(shui)(shui)槽(cao)等競(jing)或變寬(kuan),配(pei)(pei)(pei)(pei)水(shui)(shui)(shui)孔等間距或變間距,配(pei)(pei)(pei)(pei)水(shui)(shui)(shui)槽(cao)平坡或變坡等。種(zhong)種(zhong)方法有(you)各(ge)自的特點和適用范圍,工程(cheng)中不僅要(yao)考慮到工藝(yi)的合(he)理(li)性(xing)、穩定(ding)(ding)性(xing),還要(yao)便于土建施工、設備(bei)安裝(zhuang)等,以臻(zhen)工藝(yi)先進、施工便利。管理(li)維護方便。目前常用的計(ji)(ji)算(suan)方法有(you)3種(zhong):
①等孔距法
配(pei)水(shui)槽(cao)槽(cao)內(nei)水(shui)面為一(yi)水(shui)平(ping)線,水(shui)高(gao)H不(bu)變,各(ge)配(pei)水(shui)孔(kong)配(pei)水(shui)水(shui)頭Z一(yi)致,孔(kong)口(kou)出流量q相等,配(pei)水(shui)孔(kong)間距ι恒(heng)定(ding)。
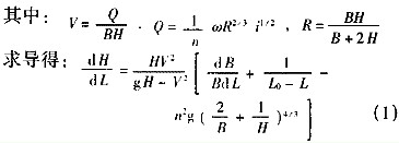
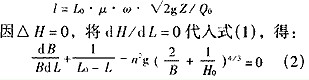
由式(2)可知,槽(cao)寬B與(yu)槽(cao)長L相關(guan),隨L的變(bian)(bian)化(hua)而變(bian)(bian)化(hua),與(yu)進水(shui)水(shui)量從無關(guan)。實(shi)際工程中,B、H0的選擇取決于進水(shui)流量Q0,H0越(yue)大(da),V越(yue)小,配水(shui)的效果(guo)越(yue)理想。
等(deng)孔距法配(pei)(pei)水的優點是:配(pei)(pei)水孔管大小一致(zhi),孔距均(jun)等(deng),沿池周均(jun)布并與池中心對稱(cheng)。但工程實用性并不理想,槽寬B沿程變化復雜,施工難度大。
②等寬度法
等寬度法即配水(shui)槽(cao)槽(cao)寬B一致,將dB/dL=0代人式(1),得:
由式(3)可知,隨槽長(chang)L的(de)變(bian)化(hua),槽內水(shui)(shui)深H、水(shui)(shui)流流速V也相(xiang)應改變(bian)。H的(de)改變(bian)說明各(ge)孔口配水(shui)(shui)水(shui)(shui)頭Z、出(chu)流量q各(ge)不相(xiang)同。由于各(ge)配水(shui)(shui)孔管的(de)直徑(jing)一(yi)致,各(ge)孔距ι各(ge)不相(xiang)同。
等寬度法(fa)由(you)于(yu)同(tong)時還存在另一變量:流(liu)速V,較(jiao)適用于(yu)恒定流(liu)量,即(ji)進水(shui)水(shui)量變化不大(da)的情況。實(shi)際工程中,隨(sui)進水(shui)水(shui)量。污泥回流(liu)量的改變,會存在一定的誤差(cha)。
③等流速法
此方法(fa)強調配水槽內水流流速(su)廠(chang)恒定,從(cong)式(shi)(1)可(ke)知dH/dL ∝V,當流速(su)V為定值(zhi)且(qie)較(jiao)小(xiao)時,V2=O,則:dH=0,H≈H0。因:
V=(Q0/B0H0)=Q0/BH0(1-L/L0)
得:B=B0(1-L/L0),即槽寬B與(yu)槽長L呈線性(xing)變化,代入式(shi)(1),得:
dH/dL=(HV2/(gH-V2)[-B0/BL0)+[1/(L0-L)-n2g(2/B)+(/H)4/3]
因gH-V2≈gH,得:
dH/dL=-(nV)2[2L0/[(B0(L0-L)+1/H]4/3 (4)
由式(4)可知,H隨L順水(shui)(shui)流方(fang)向逐(zhu)漸降(jiang)低,通過確定水(shui)(shui)深H,各配水(shui)(shui)孔配水(shui)(shui)水(shui)(shui)頭Z,進而(er)可得出各配水(shui)(shui)孔孔距ι。
等流(liu)速法的(de)槽寬(kuan)B隨(sui)槽長L呈線性關系,變(bian)化(hua)不(bu)復雜,施工可控制(zhi)。同時由(you)于流(liu)速V不(bu)變(bian),受實際進水水量變(bian)化(hua)的(de)影響并(bing)不(bu)大。
3 配水計算實例
本文所述(shu)工(gong)程(cheng)實例中的(de)周(zhou)進周(zhou)出二沉池的(de)池內徑45m,池邊水深4.60m,總高度5.10m,單池處理能力Qd=3.25×104m3/d,表面負荷q=0.85m3/(m3.d)。
設計計算中,限定工藝(yi)邊界條件:槽(cao)(cao)寬不(bu)宜(yi)(yi)小(xiao)于(yu)(yu)0.3m;進出水槽(cao)(cao)槽(cao)(cao)底(di)為平(ping)底(di);為防止混合(he)(he)液槽(cao)(cao)內沉淀,環槽(cao)(cao)流速(su)V不(bu)宜(yi)(yi)低于(yu)(yu)0.3m/s;配水孔(kong)(kong)口不(bu)宜(yi)(yi)過小(xiao),均(jun)采用同一規格φ100,孔(kong)(kong)深與底(di)板(ban)厚度相同。計算采用了(le)等流速(su)法和等寬度法組合(he)(he)。
①配水(shui)槽(cao)起(qi)端,為(wei)滿(man)足水(shui)量變化要求,采用等流(liu)速法計(ji)算。根據最小設計(ji)流(liu)量Qmin槽(cao)內水(shui)流(liu)流(liu)速V=0.3m/s確(que)定起(qi)始(shi)槽(cao)寬B0及B=B0(1-L/L0);根據平均(jun)設計(ji)流(liu)量Qave水(shui)力(li)坡降線(xian)△H=0.01m將槽(cao)水(shui)面(mian)曲(qu)線(xian)劃(hua)分為(wei)幾段,按每段平均(jun)配水(shui)水(shui)頭確(que)定平均(jun)孔距ι。
②配(pei)水(shui)槽末端,當計(ji)算(suan)槽寬B<0.3m時(shi),取槽寬B=0.3m,采用等寬度法確定(ding)各(ge)配(pei)水(shui)孔(kong)孔(kong)距ι。此時(shi)因槽內流(liu)量小(xiao),配(pei)水(shui)均勻穩定(ding)性受流(liu)量變(bian)化的影響亦較小(xiao)。
通過以(yi)上(shang)計算,該沉淀池(chi)配水(shui)槽寬B=1.1-0.3m,渠內(nei)水(shui)深H=1.2m,配水(shui)水(shui)頭Z≈0.14m,配水(shui)孔(kong)管直徑100mm,孔(kong)距ι為1.014-0.744m。考(kao)慮進(jin)水(shui)量(liang)變化的影(ying)響,實際(ji)配水(shui)效果maxιq-q0ι<2%q0。出水(shui)水(shui)質(zhi)達到排放(fang)標準。
4 二沉池其他部(bu)件的設置
4.1 單向環流配水(shui)
理論上采(cai)用(yong)雙向環槽配(pei)水(shui)可減少渠道(dao)斷(duan)面,但工程(cheng)中很難保證雙向對(dui)稱分(fen)流,一旦(dan)發生偏流,誤差會更(geng)大,采(cai)用(yong)單向環流配(pei)水(shui)更(geng)可靠。另外,配(pei)水(shui)槽內(nei)的(de)刮渣板隨吸(xi)泥機單向旋轉(zhuan),雙向配(pei)水(shui)不利于配(pei)水(shui)槽內(nei)撇(pie)渣。
4.2 配水槽(cao)與集水槽(cao)
配水槽(cao)(cao)和集水槽(cao)(cao)沿池周布置,兩槽(cao)(cao)合建,共底共壁,配水孔管中心。擋(dang)水裙(qun)板。出水堰環與池周同心,保證進出水均(jun)勻(yun)。
4.3 進(jin)水(shui)區(qu)擋水(shui)裙板
擋水裙(qun)板延伸至(zhi)水面(mian)下(xia)1.5m處(chu)以保證良好的澄清(qing)絮凝效果。
4.4 除渣(zha)
浮渣集(ji)中在(zai)配水渠道的小塊(kuai)面積上(shang),通過安裝在(zai)撇渣設(she)備(bei)豎臂上(shang)的葉(xie)片刮(gua)集(ji),驅動配水渠末端的浮閘堰門排除。
4.5 排泥
排泥(ni)設備(bei)選用中心傳(chuan)動單(dan)管(guan)(guan)(guan)吸泥(ni)機(ji)。吸泥(ni)機(ji)轉動方(fang)(fang)向與進水形成的水流方(fang)(fang)向一致,攪動池(chi)底污(wu)泥(ni)和帶走輕的活性污(wu)泥(ni)絮(xu)體的可能(neng)性亦較小。吸泥(ni)管(guan)(guan)(guan)斷面由池(chi)邊到池(chi)中心逐(zhu)漸放大,可保證污(wu)泥(ni)在(zai)吸泥(ni)管(guan)(guan)(guan)內(nei)流速均勻,防止(zhi)孔(kong)口堵塞(sai)及污(wu)泥(ni)在(zai)管(guan)(guan)(guan)內(nei)沉積。
5 結語
周進(jin)(jin)周出幅流式(shi)沉淀池與傳(chuan)統的(de)中心(xin)進(jin)(jin)水式(shi)相比,具有較大(da)的(de)有效容積、高溢流率、最(zui)佳水力穩定(ding)性(xing)、最(zui)大(da)范圍進(jin)(jin)水面(mian)、進(jin)(jin)水渠道(dao)表面(mian)撇渣等優點,在保(bao)證配水均勻穩定(ding)性(xing)的(de)前提下,可以(yi)得到良好(hao)的(de)處(chu)理效果。

使用微信“掃一掃”功能添加“谷騰環保網”