COD自動監測技術及應用
摘要:結合COD標準測量方法,著重分析了常見的COD自動監測技術的原理及特點,指出了不同監測技術存在的優缺點及適用范圍,為開展廢水污染源監控提供借鑒。
關鍵詞:COD;自動監測;污染監控;在線分析儀
化學需氧量(Chemical Oxygen Demand,簡稱COD),是指在強酸并加熱條件下,用重鉻酸鉀作為氧化劑處理水樣時所消耗氧化劑的量,以氧的mg/L來表示。化學需氧量反映了水中受還原性物質污染的程度,水中還原性物質包括有機物、亞硝酸鹽、亞鐵鹽、硫化物等。由于水被有機物污染是很普遍的,因此化學需氧量也作為有機物相對含量的指標之一,但只能反映能被氧化的有機物污染,不能反映多環芳烴、PCB、二 英類等的污染狀況。CODCr 是我國實施排放總量控制的指標之一。
水樣的化學需氧量,可根據加入氧化劑的種類及濃度、反應溶液的酸度、反應溫度和時間的不同,以及催化劑的有無而獲得不同的結果。因此,化學需氧量亦是一個條件性指標,必須嚴格按操作步驟進行。
對于污水,我國規定要用重鉻酸鉀法進行測定,其測得的值稱為化學需氧量。國外也有用高錳酸鉀、臭氧、羥基作氧化劑的方法體系。如果使用這些方法體系,必須與重鉻酸鉀法做對照實驗,得出相關系數,以重鉻酸鉀法上報監測數據。
COD作為還原性物質指標是除氯離子之外的無機還原物質的耗氧全包括在內,COD作為有機物相對含量指標,則應將無機還原物質,如Fe2+ 、S2- 等的耗氧加以扣除,從而對已測COD加以校正。COD不能涵蓋測定所有的有機物,同時其又是一個條件性指標,如具有相同 COD理論含量但化學結構不同的物質,其實際測定結果是不同的。因此,若將COD作為有機物含量來看,則不是計量學上不變性原則所要求的理想標準體系,顯示出了其不合理性。但COD指標的原意是為了了解水體中將有多少需要消耗水中溶解氧的物質,即包括有機物也包括還原性無機物,它們在重鉻酸鉀法中消解氧化率低時,在水體中耗氧也少,所以重鉻酸鉀法測定的COD也有著其合理性。在所有已發明的廢水測定實驗室方法中,表征有機物含量的COD是在精度要求、測定成本及我國環境現況等多因素條件下折中優化的產物,是這種意義上最好的方法。
1 COD標準測量方法
COD重鉻酸鉀法從建立至今已有100多年的歷史,其工作原理為:在強酸性溶液中,用一定量的重鉻酸鉀氧化水樣中的還原性物質,過量的重鉻酸鉀以試亞鐵靈作指示劑,用硫酸亞鐵銨溶液回滴。根據硫酸亞鐵銨的用量算出水樣中還原物質消耗氧的量。重鉻酸鉀在強酸性介質中的氧化反應式為:
![]() |
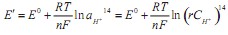
回流加熱時,反應溫度為146℃即419K,反應體系中硫酸濃度為9mol/L,其活度系數r為0.72,此時的條件電極電位為:
![]() |
式中: E‘ — 條件電極電位(V);
E0 — 標準電極電位(V);
R — 氣體常數,8.314J/K·mol;
T — 絕對溫度,273K;
n — 化學反應的當量數;
F — 法拉弟常數,9.65×104C/mol;
r — 活度系數;
a — 活度;
C — 濃度(mol/L)。
因此:
![]() |
由此可見,在上述反應條件下,酸性重鉻酸鉀具有較高的氧化能力,足以使大部分有機化合物氧化,加入硫酸銀作催化劑時,直鏈脂肪族化合物可完全被氧化,而芳香族有機物卻不易被氧化,吡啶不被氧化,揮發性直鏈脂肪族化合物、苯等有機物存在于氣相,不能與氧化劑液體接觸,氧化不明顯。氯離子能被重鉻酸鹽氧化,并且能與硫酸銀作用產生沉淀,影響測定結果,故在回流前向水樣中加入硫酸汞,使成為絡合物以消除干擾。
《水和廢水監測分析方法》(第四版)中列舉了5種測量方法,其中重鉻酸鉀法與國標GB11914—89等效,氯氣校正法(高氯廢水)與HJ/T70—2001等效;另外三種屬于成熟的統一方法,分別是:庫侖法、快速密閉催化消解法(含光度法)和節能加熱法。除以上5種方法外,針對一些行業和企業(如石油企業)所排放的高氯廢水,國家環保總局在2003年9月發布了HJ/T132—2003 碘化鉀堿性高錳酸鉀法,適用于油氣田和煉化企業氯離子高達幾萬至十幾萬mg/L高氯廢水化學需氧量的測定。再加上HJ/T399—2007快速消解分光光度法,目前化學需氧量標準測量方法共計7種,除第6種采用高錳酸鉀外,其余5種均以重鉻酸鉀作氧化劑,尤其以第1種重鉻酸鉀法最為常見。
2 COD自動監測技術原理及分類
3 COD自動監測儀的特點及應用
4 結語
詳細內容請查看附件部分:

使用微信“掃一掃”功能添加“谷騰環保網”
如果需要了解更加詳細的內容,請點擊下載 COD自動監測技術及應用.rar
下載該附件請登錄,如果還不是本網會員,請先注冊