客運專線無碴軌道噪聲問題探討
摘 要:對(dui)輪(lun)軌(gui)(gui)噪(zao)(zao)聲(sheng)問題國內外研究現狀、無碴(cha)軌(gui)(gui)道噪(zao)(zao)聲(sheng)及(ji)其降噪(zao)(zao)措施進(jin)行了概述(shu)。為了對(dui)高速運營條件(jian)下的(de)(de)輪(lun)軌(gui)(gui)滾(gun)動噪(zao)(zao)聲(sheng)進(jin)行更詳細描述(shu)和評價,通過對(dui)鋼軌(gui)(gui)豎(shu)向振動的(de)(de)測(ce)量,間接(jie)得到(dao)輪(lun)軌(gui)(gui)有(you)效(xiao)不(bu)平順(shun)度,再結合(he)聲(sheng)壓測(ce)量結果,根(gen)據有(you)效(xiao)不(bu)平順(shun)度與聲(sheng)壓間的(de)(de)簡單關系(xi)得到(dao)不(bu)平順(shun)度對(dui)聲(sheng)壓的(de)(de)轉換函(han)數(shu),合(he)成有(you)效(xiao)不(bu)平順(shun)度與轉換函(han)數(shu)的(de)(de)組合(he)可(ke)用于任(ren)何(he)列(lie)車(che)速度、任(ren)何(he)給定列(lie)車(che)軌(gui)(gui)道系(xi)統的(de)(de)噪(zao)(zao)聲(sheng)輻射譜預(yu)測(ce);將車(che)輛噪(zao)(zao)聲(sheng)和軌(gui)(gui)道噪(zao)(zao)聲(sheng)分開進(jin)行評估量化,為從車(che)輛與軌(gui)(gui)道兩方面尋(xun)求有(you)效(xiao)控制和降低輪(lun)軌(gui)(gui)噪(zao)(zao)聲(sheng)的(de)(de)方法奠定基(ji)礎。
關鍵詞:無碴軌道滾(gun)動(dong)噪聲;鋼(gang)軌豎向振動(dong);有(you)效不(bu)平順;轉換函數
軌(gui)(gui)(gui)道交(jiao)通噪(zao)(zao)聲(sheng)(sheng)對(dui)環境的影響日益受到人們的普遍關(guan)注,特別(bie)是(shi)在(zai)(zai)當前(qian)高(gao)速(su)鐵路(lu)技術發展迅(xun)猛的情況下,隨著行(xing)車速(su)度(du)的提高(gao),噪(zao)(zao)聲(sheng)(sheng)水平迅(xun)速(su)提高(gao),如圖(tu)1 所(suo)示。國內外一(yi)些研(yan)究(jiu)資料表明(ming)[1-2]:在(zai)(zai)不同速(su)度(du)條件(jian)下,滾(gun)動(dong)噪(zao)(zao)聲(sheng)(sheng)是(shi)鐵路(lu)噪(zao)(zao)聲(sheng)(sheng)輻(fu)射的主(zhu)要(yao)來源,而鋼(gang)軌(gui)(gui)(gui)振動(dong)噪(zao)(zao)聲(sheng)(sheng)在(zai)(zai)輪軌(gui)(gui)(gui)滾(gun)動(dong)噪(zao)(zao)聲(sheng)(sheng)中(zhong)又居主(zhu)要(yao)地(di)位,車輪次(ci)之。由(you)于(yu)噪(zao)(zao)聲(sheng)(sheng)與(yu)振動(dong)在(zai)(zai)500~2000 Hz 頻率范圍內線性相關(guan),且鋼(gang)軌(gui)(gui)(gui)在(zai)(zai)此范圍內是(shi)主(zhu)要(yao)輻(fu)射體,因此,抑制(zhi)鋼(gang)軌(gui)(gui)(gui)振動(dong)、減(jian)小鋼(gang)軌(gui)(gui)(gui)的振動(dong)加速(su)度(du)和頻率,對(dui)降噪(zao)(zao)起著關(guan)鍵(jian)作用。在(zai)(zai)許多(duo)工業(ye)發達國家,經過多(duo)年的研(yan)究(jiu)積累(lei),已經形成較為(wei)完(wan)整的軌(gui)(gui)(gui)道交(jiao)通噪(zao)(zao)聲(sheng)(sheng)測試(shi)、評價、控制(zhi)及整治機制(zhi)。而我國學(xue)者雖也對(dui)此進行(xing)了一(yi)些研(yan)究(jiu),提出并采取了一(yi)些措施[3-8] ,輪軌(gui)(gui)(gui)噪(zao)(zao)聲(sheng)(sheng)有所(suo)降低(di),但隨著我國高(gao)速(su)客運專線的建設(she),由(you)于(yu)輪軌(gui)(gui)(gui)噪(zao)(zao)聲(sheng)(sheng)對(dui)車速(su)有較強(qiang)的依賴性,其聲(sheng)(sheng)級將愈(yu)來愈(yu)大,有待(dai)于(yu)進一(yi)步(bu)研(yan)究(jiu)。
![]() |
1 無碴軌道噪聲及降噪措施
無(wu)碴(cha)(cha)軌道(dao)以(yi)其(qi)穩定(ding)性好、耐久(jiu)性強和少(shao)維修等(deng)優點(dian),在(zai)國外(wai)高(gao)速(su)(su)鐵路得到了(le)越來越廣的應用(yong),其(qi)鋪設范(fan)圍已從橋梁、隧(sui)道(dao)發展到土(tu)質路基和道(dao)岔區, 特(te)別是在(zai)高(gao)架橋上及隧(sui)道(dao)內(nei)取得了(le)良好的效果。無(wu)碴(cha)(cha)軌道(dao)結(jie)構在(zai)高(gao)速(su)(su)鐵路上的大(da)量鋪設已成(cheng)為發展趨勢(shi)。經過反復研究和論證(zheng),我國客(ke)運專線鐵路的軌道(dao)結(jie)構將會積極采(cai)用(yong)無(wu)碴(cha)(cha)軌道(dao)。
無(wu)碴(cha)(cha)軌(gui)道(dao)(dao)由于軌(gui)道(dao)(dao)聯接阻(zu)抗、振(zhen)(zhen)動(dong)衰減率的(de)降低(di)以(yi)及軌(gui)道(dao)(dao)噪(zao)聲吸(xi)收能力(li)的(de)降低(di),使得它(ta)比有碴(cha)(cha)軌(gui)道(dao)(dao)有更(geng)高的(de)噪(zao)聲輻射。利(li)用鋼(gang)軌(gui)振(zhen)(zhen)動(dong)與(yu)噪(zao)聲的(de)關系,計(ji)算由鋼(gang)軌(gui)產生的(de)1/3 倍頻(pin)(pin)程等效聲壓(ya)級曲線,如圖(tu)2 所示(shi),它(ta)表明無(wu)碴(cha)(cha)軌(gui)道(dao)(dao)在(zai)500~1500Hz頻(pin)(pin)率范圍內(nei)比有碴(cha)(cha)軌(gui)道(dao)(dao)、鋼(gang)軌(gui)振(zhen)(zhen)動(dong)水平更(geng)高,而沿鋼(gang)軌(gui)的(de)振(zhen)(zhen)動(dong)衰減十分低(di),而且(qie)輸入阻(zu)抗在(zai)相(xiang)關頻(pin)(pin)率范圍內(nei),無(wu)碴(cha)(cha)軌(gui)道(dao)(dao)比有碴(cha)(cha)軌(gui)道(dao)(dao)低(di)很多(duo)。
![]() |
為了使無碴軌道在噪聲抑制性能(neng)上基(ji)本與有碴軌道的相當,甚至(zhi)比其更好,主(zhu)要采取(qu)下(xia)面3 個(ge)措施,如(ru)圖3 所示:
![]() |
1) 對輪軌滾(gun)動噪聲的(de)吸(xi)收。吸(xi)收層應盡可能厚,并且盡可能伸出軌道邊緣。
2) 抑制軌(gui)道(dao)輻(fu)射。盡可能以吸收(shou)材料將軌(gui)道(dao)覆蓋(gai)。
3) 通過(guo)設置小型屏(ping)障衰減車下的噪聲輻射。
這3種措(cuo)施相結合可降(jiang)(jiang)低噪聲約6dB ;如果沒(mei)有(you)設置屏障(zhang),降(jiang)(jiang)噪效果為4~5dB ;單(dan)獨使(shi)用吸收層,則大約降(jiang)(jiang)低3dB。此外,還應(ying)考慮在外界(jie)天(tian)氣、列車通過以及臟(zang)污等因素的影響下相應(ying)降(jiang)(jiang)噪效果的降(jiang)(jiang)低。
2 無碴軌道滾動噪聲測試評價
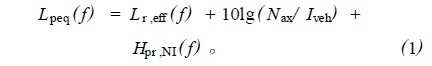
為了對在高速運營條件下的輪軌滾動噪聲進行更詳細的描述和評價,這里介紹一種新的測試、評價方法。通過對鋼軌豎向振動的測量,間接得到
輪(lun)軌有(you)效(xiao)不(bu)平順(shun)(shun)度(這(zhe)里的(de)(de)不(bu)平順(shun)(shun)度是(shi)指波長(chang)在(zai)5~200mm范圍內輪(lun)軌接(jie)觸表(biao)面振幅(fu)的(de)(de)變化) ,結合聲壓(ya)(ya)測量(liang)結果,根據有(you)效(xiao)不(bu)平順(shun)(shun)度(粗糙度) 與(yu)聲壓(ya)(ya)間(jian)的(de)(de)簡單關(guan)系就可得(de)到(dao)不(bu)平順(shun)(shun)度對聲壓(ya)(ya)的(de)(de)轉(zhuan)換函(han)數(shu)。合成有(you)效(xiao)不(bu)平順(shun)(shun)度與(yu)轉(zhuan)換函(han)數(shu)相結合可用于任何列(lie)車速(su)度、任何給定列(lie)車軌道系統(tong)的(de)(de)噪聲輻射譜預測。
已有的(de)鐵路噪聲(sheng)(sheng)模型給(gei)出了輪軌間(jian)不平順(shun)度(du)與軌道(dao)旁(pang)邊一定距離測得(de)聲(sheng)(sheng)壓間(jian)的(de)一種線性關系(xi)(xi)。合成有效不平順(shun)度(du)與聲(sheng)(sheng)壓間(jian)的(de)簡(jian)單關系(xi)(xi)如下:
![]() |
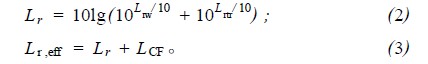
式中: f為1/3倍頻(pin)程頻(pin)率(lv)(Hz);Lpeq(f)為給(gei)定速度下(xia)等效(xiao)聲壓譜(dB-20uPa) ;Lr,eff(f) 為給(gei)定速度下(xia)等效(xiao)合成有(you)效(xiao)不平順度(頻(pin)率(lv)) 譜[dB-1μm];Nax為車(che)軸數;Iveh為車(che)長(m) ; Hpr,NI(f) 為有(you)效(xiao)不平順度對聲壓的轉換函(han)數(轉化為1軸/m[dB-20Pa/ m1/2]) 。
合成(cheng)有效不平順(shun)度(du)通過接觸(chu)過濾后的(de)輪軌振動激勵,由輪軌不平順(shun)度(du)能量總和推出。
![]() |
式中:Lr=20lgr/rn , 即不(bu)平順(shun)度(du)譜( 波長或(huo)頻率) [dB-1μm] ; r為(wei)(合(he)成(cheng)) 不(bu)平順(shun)度(du)均(jun)方根(μm);rw 為(wei)車輪不(bu)平順(shun)度(du)均(jun)方根(μm) ; rtr為(wei)鋼(gang)軌不(bu)平順(shun)度(du)均(jun)方根(μm) ;Lr,eff為(wei)(合(he)成(cheng)) 有效不(bu)平順(shun)度(du)譜[ dB - 1μm] ;LCF 為(wei)接觸過(guo)濾(譜)(dB) 。
靜態測量所得不平順度數據需轉換為頻域值:r(f)=r(v/λ) 。 (4)
式中: v 為列車速(su)度(m/s) ;λ為不平(ping)順波長(chang)(m) 。有效不平(ping)順度對聲壓的轉換(huan)函數需轉換(huan)為單位長(chang)度車軸數,以便(bian)于任何類型車輛的應用。
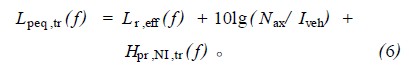
公式(shi)(1) 說明,若合成(cheng)有(you)效不平順度(du)、聲壓水(shui)平以及每米(mi)車(che)軸數(shu)已(yi)知,則轉(zhuan)換(huan)函數(shu)可(ke)以確定。而(er)聲壓可(ke)測得,合成(cheng)有(you)效不平順度(du)可(ke)由豎向鋼軌振動(dong)推(tui)求(qiu)。由于測得的聲壓包含了軌道(dao)噪聲和(he)(he)車(che)輛(主要指(zhi)車(che)輪) 噪聲2 部分(fen)(fen),為了對在(zai)高(gao)速運營條件下的輪軌滾動(dong)噪聲進行更詳細(xi)的描述和(he)(he)評價,可(ke)將兩者分(fen)(fen)開量化并考(kao)察,定義軌道(dao)轉(zhuan)換(huan)函數(shu)和(he)(he)車(che)輛轉(zhuan)換(huan)函數(shu),如圖4 所示。
![]() |
任何(he)類型的車輛軌道組(zu)合在任何(he)速度條件下都可通(tong)過對以下數據的測(ce)量(liang)進行噪聲預測(ce):
1) 有(you)(you)效(xiao)車(che)輪不(bu)平順(車(che)上所有(you)(you)車(che)輪平均值) ;
2) 有效鋼軌不平順(測(ce)量現(xian)場平均值) ;
3) 車輛有效不平順對聲(sheng)壓的轉換函(han)數(每軸/m) ;
4) 軌道有效不平順對聲(sheng)壓的轉換函數(shu)(每軸(zhou)/m) 。
而(er)實(shi)際上(shang),直接獲取這4 個數(shu)(shu)據十(shi)分(fen)困難(nan),而(er)測量(liang)合成有(you)效不平(ping)順度和車輛軌道總(zong)體轉換函(han)數(shu)(shu)更方(fang)便。
3 鋼軌振動
傳統的(de)(de)(de)(de)噪(zao)聲(sheng)控制測(ce)(ce)量(liang)(liang)經(jing)常是使(shi)用單(dan)一(yi)擴音(yin)設備測(ce)(ce)量(liang)(liang),這(zhe)種測(ce)(ce)量(liang)(liang)結(jie)果(guo)在很大(da)(da)程度(du)上取(qu)決于現場的(de)(de)(de)(de)測(ce)(ce)試(shi)條件,如軌(gui)道(dao)類型及其條件、行車(che)速度(du)等,結(jie)果(guo)使(shi)得在不(bu)(bu)同(tong)場地測(ce)(ce)得的(de)(de)(de)(de)滾動噪(zao)聲(sheng)數(shu)據存在巨大(da)(da)的(de)(de)(de)(de)差異。合(he)成有(you)效不(bu)(bu)平順度(du)Lr,eff 的(de)(de)(de)(de)間接(jie)測(ce)(ce)量(liang)(liang)并(bing)不(bu)(bu)是一(yi)種全(quan)新的(de)(de)(de)(de)方(fang)(fang)法(fa),通過測(ce)(ce)量(liang)(liang)車(che)輛下的(de)(de)(de)(de)噪(zao)聲(sheng)或測(ce)(ce)量(liang)(liang)車(che)輛軸箱(xiang)振動來評定連續軌(gui)道(dao)不(bu)(bu)平順的(de)(de)(de)(de)方(fang)(fang)法(fa)已經(jing)得到應用。然而,這(zhe)里要測(ce)(ce)量(liang)(liang)的(de)(de)(de)(de)是鋼軌(gui)振動,它將(jiang)給出與輪軌(gui)實際(ji)振動激(ji)勵密切(qie)相關的(de)(de)(de)(de)信號。該方(fang)(fang)法(fa)有(you)如下優點(dian):
1) 得到(dao)有效不平順,而不存在直接不平順測量中(zhong)信(xin)號處理問題;
2) 這種測(ce)量可(ke)以不妨礙(ai)正常運營條件下進行;
3) 結(jie)果為所有車(che)輪(lun)(包括驅(qu)動車(che)輪(lun)) 的數據;
4) 數(shu)據可用于評價單(dan)個車輪或輪群的不(bu)平順度。
許(xu)多研(yan)究結果[6-8] 表明,以(yi)豎向(xiang)鋼軌振動來(lai)標識車輛(liang)運行的不(bu)平順是(shi)十(shi)分穩定的。平均豎向(xiang)振動水平沿鋼軌變化很小,這種(zhong)信號比橫向(xiang)振動或道(dao)旁的聲壓測試數據更具(ju)代表性。圖5 所(suo)示就是(shi)一(yi)種(zhong)鋼軌振動與有效不(bu)平順間的關系。
![]() |
4 轉換函數
由式(1) 可知,整體轉換函數可通過豎向(xiang)鋼軌振動和(he)固定距(ju)離(li)處(如7.5m) 的聲壓來(lai)確定:
![]() |
若(ruo)車(che)(che)(che)輛使用低噪(zao)車(che)(che)(che)輪(lun), 如大阻(zu)尼、橫(heng)截面優化輪(lun)對(dui)或彈(dan)性車(che)(che)(che)輪(lun)以(yi)及車(che)(che)(che)輪(lun)穿孔(kong)等,則整體轉換函(han)數將近似等于軌(gui)道轉換函(han)數。這(zhe)時, 可(ke)通過合成有效不平(ping)順與軌(gui)道轉換函(han)數而得(de)到軌(gui)道在(zai)整體噪(zao)聲中所起(qi)到的作用:
![]() |
其中:Lpeq,tr為由于軌(gui)道輻射產生的聲壓; Hpr,NI,tr為軌(gui)道轉換函數(shu)。
必(bi)須指出,通(tong)過動(dong)態測量獲(huo)取車輛噪(zao)聲轉(zhuan)換函數要(yao)更困難,因為低噪(zao)軌(gui)(gui)道(dao)仍有待進一(yi)步研究。然而,目前仍可(ke)采(cai)用現有的一(yi)些(xie)方法,例如,減(jian)振(zhen)型鋼軌(gui)(gui)及(ji)扣件、減(jian)振(zhen)型軌(gui)(gui)下(xia)基礎、鋼軌(gui)(gui)打磨(mo)技術等(deng)。實踐證明(ming),由彈(dan)(dan)性(xing)支承(cheng)塊、道(dao)床板和混凝(ning)土底座及(ji)配(pei)套(tao)扣件構(gou)成的彈(dan)(dan)性(xing)支承(cheng)塊式(shi)(shi)軌(gui)(gui)道(dao)結構(gou)減(jian)振(zhen)降噪(zao)的效果較(jiao)明(ming)顯,因此,對于振(zhen)動(dong)和噪(zao)聲敏感(gan)的地(di)段,特(te)別是高架結構(gou),采(cai)用彈(dan)(dan)性(xing)支承(cheng)塊式(shi)(shi)無(wu)碴軌(gui)(gui)道(dao)結構(gou)是比較(jiao)理(li)想的方案。
5 結 語
由于不平順和聲壓的測試及轉換函數方法易操作性,非常適用于噪聲預測模型數據的收集、噪聲控制的評價。同時,定量整體滾動噪聲轉換函數
提供了一種從(cong)氣動噪(zao)(zao)聲中區分(fen)出高速輪(lun)(lun)(lun)軌(gui)(gui)(gui)滾(gun)動噪(zao)(zao)聲的(de)手段。此外,車(che)(che)輛、軌(gui)(gui)(gui)道(dao)噪(zao)(zao)聲被分(fen)離出來(lai),使得對(dui)車(che)(che)輛、軌(gui)(gui)(gui)道(dao)進(jin)行(xing)(xing)的(de)各(ge)種降噪(zao)(zao)措施進(jin)行(xing)(xing)科學評(ping)價成為可能,如進(jin)行(xing)(xing)車(che)(che)輪(lun)(lun)(lun)或(huo)鋼軌(gui)(gui)(gui)截(jie)面進(jin)行(xing)(xing)優化評(ping)價,鋼軌(gui)(gui)(gui)或(huo)車(che)(che)輪(lun)(lun)(lun)減振(zhen)阻尼系統(tong)辨識,彈性車(che)(che)輪(lun)(lun)(lun)或(huo)彈性軌(gui)(gui)(gui)枕設計,軌(gui)(gui)(gui)墊剛(gang)度參數辨識等,還可應用于橋(qiao)上無碴軌(gui)(gui)(gui)道(dao),從(cong)而為尋求有效控制和降低輪(lun)(lun)(lun)軌(gui)(gui)(gui)噪(zao)(zao)聲的(de)方法奠(dian)定(ding)了基(ji)礎。
參考文獻:
[1 ] Remington P J . Wheel - rail rolling noise I : Theoretical analysis[J ] . Journal of the Acoustical Society of America , 1987 ,81 (6) :1805 - 1823.
[2 ] Diehl RJ ,Nowack R , Hog L G. Solutions for acoustical problems with ballastless track[J ] . Journal of Sound and Vibration ,2000 ,231(3) :899 - 906.
[3 ] 雷曉燕. 高速鐵路噪聲計算方法[J ] . 中國鐵道科學,2005 ,26(4) :1 - 6.
[4 ] 徐志勝, 翟婉明. 高速鐵路輪軌噪聲預測分析[J ] . 中國鐵道科學, 2004 ,25 (1) :20 - 27.
[5 ] 練松良. 軌道動力學[M] . 上海:同濟大學出版社,2003 :152 - 187.
[6 ] Dittrich M G, de Beer F , Brero G, et al. Foundation for type testing and Monitoring’[ R] . METARAIL Report D2 , TNO ,1997.
[7 ] Jansen H W, de Beer F G, Dittrich M G. Validation measurements for level 2 measurements with indirect roughness
[R] . TNO report DGT - RPT - 020078 , STAIRRS deliver ablereport STR23TR150702TNO2 , 2002.
[8 ] Thompson D J , Jones C J C. Study on the sensitivity of the indirect roughness method to variations in track and wheel parameters (STAIRRS report) [ R] . ISVR Contract Report 01/xx ,2001.

使用微信“掃一掃”功能添加“谷騰環保網”