一體式膜-生物反應器中膜面污泥沉積速率及其影響因素
摘要:膜面污泥沉積是膜污染的主要構成部分. 膜間液體上升流速(曝氣量) 、膜通量和污泥濃度等運行條件是影響一體式膜2生物反應器膜面污泥沉積速率的重要因素. 本研究通過均勻設計法安排了10 次試驗,實測了各試驗點下的膜間液體上升流速,得到了適用于活性污泥混合液條件下的膜間液體上升流速計算模型. 并實測了膜過濾阻力的上升速率,建立了膜間液體上升流速( uLr) 、污泥濃度( X) 和膜通量( J) 對污泥沉積速率( K) 的影響模型: K= (81933 ×107) ·X01532·J01376·uLr- 31047 . 通過該模型,可以討論臨界曝氣強度和臨界膜通量,也可以對不同操作條件下的膜污染發展情況進行預測.
關鍵詞:膜污染,污泥沉積速率,曝氣強度,膜通量,污泥濃度,膜間液體上升流速
膜-生物反應器(Membrane Bioreactor ,MBR) 是將生物處理和膜分離技術有機結合的新型高效污水處理與回用工藝. 該工藝因出水水質優良穩定、容積負荷高、占地小、剩余污泥產量低、操作管理方便等突出特點,正得到越來越多的研究和應用.眾多學者的研究發現,膜污染是影響膜2生物反應器長期穩定運行的關鍵因素. 如何有效地控制膜污染的發展,使膜的清洗周期維持在合適的水平,是膜2生物反應器研究中的難點之一。
通常,膜污染從形成的形態上主要有膜孔堵塞、膜面凝膠層和污泥層. 其中,污泥沉積是膜污染的主要構成部分[1 ,2 ] . 而污泥顆粒在膜表面沉積與否,與膜面液體錯流流速、膜通量和污泥濃度等運行條件密切相關.Ueda et al 探討了一體式膜2生物反應器中曝氣強度對膜面液體上升流速及其對膜過濾壓差的影響[3 ] ; Kishino et al 從理論上給出了液體上升流速的計算模型[4 ] . 但是他們均未對膜通量和污泥濃度對膜污染的綜合影響進行研究.桂萍首次運用正交設計的試驗方法對膜污染速度與污泥濃度、曝氣量和膜通量的關系進行了全面考察[5 ] . 但其試驗中各變量的取值范圍較窄,不能包括所有實際設計中可能出現的各種情況,而且尚未回歸出膜過濾阻力的增長速率與運行條件的定量關系,限制了該結果的推廣應用.
本研究以一體式膜2生物反應器為對象,采用均勻設計(Uniform Design)的試驗設計方法[6 ] ,綜合考察了膜間液體上升流速(曝氣量) 、膜通量和污泥濃度對膜面污泥沉積速率的影響,建立了各運行條件對膜面污泥沉積速率的定量關系.
1 試驗裝置與方法
1.1 試驗裝置
試驗中使用如圖1 所示的2 套相同的一體式膜2生物反應器裝置同時運行.
![]() |
生物反應器有效容積為180L ,被2 塊擋板分隔成一個升流區和2 個降流區,有關結構尺寸見表1. 膜組件是日本三菱公司生產的聚乙烯中空纖維微濾膜,孔徑為014μm ,膜面積為3m2 ,置于升流區內. 膜下設有穿孔管鼓風曝氣,以提供微生物代謝所需的氧氣及膜面的錯流流速. 膜組件的運行采用間歇運行模式,抽吸出水15min ,停止5min. 膜過濾出水返回生物反應器以保持反應器內混合液性質及液位恒定. 為了防止反應器內污泥濃度因內源呼吸而降低,每天用隔膜泵( 型號X0302XB2AAAA365 , chem2tech series 100 , IDEX 公司生產) 向生物反應器內輸入一定數量的葡萄糖配水,同時棄去相應體積的膜過濾出水.
![]() |
1.2 試驗設計
為了能夠在合理的試驗規模上擴大各變量的取值范圍,使其包括所有實際運行中可能出現的情況,本研究采用均勻設計法進行試驗設計. 對曝氣強度( G) 、膜通量( J ) 和污泥濃度( X) 分別取10 個水平[ G :10~100m3/ (m2·h) ;J :415~27 L/ (m2·h) ; X :2~20 g/ L ] ,然后按照均勻設計表U11 (1110) 安排10 次試驗(詳見表2) ,在每次試驗中考察膜間液體上升流速及與之相應的膜面污泥沉積速率. 膜間液體上升流速采用LS45 型旋杯流速儀(水利部重慶水文儀器廠生產) 測定. 膜面污泥沉積速率通過測定膜過濾壓差的變化,計算膜過濾阻力,采用膜過濾阻力隨時間的上升速率進行間接表征.
![]() |
2 結果與討論
2.1 膜間液體上升流速模型
對于粘度較小的牛頓流體, Yusuf Chisti 和Murray Moo2Young 曾利用反應器內能量守衡,
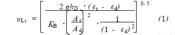
在忽略流體與反應器壁摩擦阻力的情況下給出了氣提式反應器中液體上升流速的計算公式[7 ] . 該公式經過簡單改變后即可應用于一體式膜2生物反應器中液體上升流速uLr的計算,
![]() |
式(1) 中: uLr為牛頓流體的膜間液體上升流速(m/ s) ; g 為重力加速度(m2/ s) ; hD 為曝氣后的液面高度(m) ; A r 為膜2生物反應器升流區過水總斷面積(m2) ; A d 為膜2生物反應器降流區過水總斷面積(m2) ;εr ,εd 為升流區和降流區的含氣率; KB 為反應器底部區域的阻力損失系數.但是,在更多的情況下,膜生物反應器中的污泥濃度比較高,混合液粘度比較大,應視為非牛頓流體. 如果仍然用式(1) 計算膜間液體上升流速,計算值就會與實際值偏差較大. 因此,需要對上述模型進行修正.
根據表2 中均勻設計的試驗安排,對不同污泥濃度( X) ,同時測定對應X 值下的混合液粘度μ值、曝氣強度( G) 下的膜間液體上升流速( uSr) 進行測定,結果如表3 所示. 表3 中同
時列出了根據式(1) 計算得到的清水時對應曝氣強度( G) 下的膜間液體上升流速uLr[8 ] .
![]() |
根據表3 中的數據,采用多元線性回歸的方法,就可以建立適于活性污泥混合液(非牛頓流體) 條件下的膜間液體上升流速模型:uSr = 11406 uLr11226 μ- 01147 (2)
對上述回歸方程的F 檢驗表明,計算所得87198 的F 值遠大于在0101 水平上的標準值9.6 ,證明污泥濃度與曝氣強度對膜間液體上升流速具有明顯的影響.
表3 中實測X 值及μ值的關系可用圖2 所示.
![]() |
由此也可以把污泥混合液條件下的膜間液體上升流速uSr表示成清水流速uLr和污泥濃度X 的函數:
![]() |
由于uLr與曝氣強度密切相關,隨曝氣強度的增加而增大(劉銳,2000) ,所以從上式可以看出,曝氣強度對uSr有著明顯的正影響,而污泥濃度則起著負影響.
2.2 膜面污泥沉積速率模型
根據過濾理論,膜過濾阻力可由(4) 式計算
![]() |
式中: J 為膜通量,L/ (m2 ·h) ;Δp 為膜過濾壓力,Pa ;μ為濾液(可視為清水) 粘度,mPa·s ; R為膜過濾阻力,1/ m.
清水粘度(μ) 可由經驗公式(5) 算得:
![]() |
式中, t 為實測反應器中的水溫, ℃
按表2 中所列試驗點的條件進行試驗,記錄不同時刻的膜過濾壓力(Δp) ,然后根據式(4) 即可算得相應時刻的膜過濾阻力( R) .
對每一個試驗點都測定了膜過濾阻力隨時間的變化情況,圖3 所示為試驗點1 中的實測結果. 由圖3 可知,在試驗時間內,膜過濾阻力基本上隨時間線性增加. 因此,可以通過直線擬和,求出膜過濾阻力上升速率( K) .
![]() |
表4 列出了各試驗點中膜過濾阻力上升速率( K) 的計算結果. 其中所列uLr值是根據式(1) 計算得到的清水時對應曝氣強度( G) 下的膜間液體上升流速[8 ] .
![]() |
根據表4 中的數據,同樣采用多元線性回歸的方法, 就可以建立膜過濾阻力上升速率( K) 與運行條件的關系式,即:
![]() |
對上述回歸方程進行F 檢驗, 計算所得2.39 的F 值大于在012 水平上的標準值2.1 ,證明3 個運行參數對膜過濾阻力上升速率的影響是比較顯著的.
由此模型可知,污泥濃度及膜通量對污泥沉積速率均有正影響,而膜間液體上升流速則表現出顯著的負影響.
2.3 不同運行條件下膜污染發展速率的預測
利用式(6) ,可以對不同運行條件下的膜過濾阻力的變化,即膜污染的發展速率進行預測. 圖4 所示為使用數學軟件Matlab (611) 分別在X = 2 和20g/ L 下作出的K 關于J 與uLr的關系曲面圖.
![]() |
由圖4 可見,膜過濾阻力上升速率K 隨膜通量J 的增大而增加,隨膜間液體上升流速(曝氣強度) uLr的增大而減小. 各污泥濃度下, K 隨J 和uLr的變化曲面形狀非常相似:都存在一條J2 uLr臨界曲線,當實際采用的J 、uLr組合值在該臨界曲線以左時, K 值緩慢增長且隨J 、uLr的變化不大;反之, K 值迅速增長且受J 、uLr的影響極大.
3 結論
(1) 考察了曝氣量( G) 和污泥濃度( X) 對膜間液體上升流速( uSr) 的影響,建立了適用于活性污泥混合液條件下的膜間液體上升流速計算模型:
(2) 綜合考察了曝氣量(膜間液體上升流速) 、膜通量和污泥濃度對膜面污泥沉積速率的影響,建立了膜面污泥沉積速率( K) 的計算模型:
(3) 根據污泥沉積速率模型對不同運行條件下的膜污染發展情況進行了預測,找出了對應臨界膜通量和臨界曝氣量的J2 uLr臨界曲線.
參考文獻:
1 Magara Y, Itoh M. The effect of operational factors on sol2id/ liquid separation by ultra membrane filtration in a biological denitrification system for collected human excreta treatement plants. Wat . Sci. Tech. , 1991 , 23 : 1583~1590.
2 Muller E B , Stouthamber A H , Verseveld H W, Eikelboom D H. Aerobic domestic wastewater treatment in a pilot plant with complete sludge retention by cross2flow filtration. Wat .Res. , 1995 , 29 (4) : 1179~1189.
3 Ueda T , Hata K, Kiknoka Y,Seino O. Effects of aeration on suction pressure in a submerged membrane bioreactor. Wat .Res. , 1997 , 31 (3) : 489~494.
4 Kishino H , Ishida H , Iwabu H , Nakano I. Domestic wastewater reuse using a submerged membrane bioreactor.Desalination , 1996 , 106 : 115~119.
5 桂萍. 一體式膜2生物反應器污水處理特性及膜污染機理研究. 清華大學環境科學與工程系博士學位論文,1999 年8 月.
6 方開泰. 均勻設計與均勻設計表. 北京:科學出版社,1994.
7 Yusuf C , Murray M Y. Improve the performance of airlift reactors. Chemical Engineering Process , 1993 , (6) : 38~45.
8 劉銳,黃霞等. 一體式膜2生物反應器的水動力學特性. 環境科學,2000 ,21 (5) :47~50.

使用微信“掃一掃”功能添加“谷騰環保網”