土工格柵在填埋場軟基圍堤加筋處理中的應用
1 前言
對(dui)(dui)軟土(tu)地基條(tiao)件下(xia)的(de)(de)平原(yuan)型填(tian)(tian)埋(mai)場而言(yan),圍(wei)堤擋壩的(de)(de)構建不僅與整個填(tian)(tian)埋(mai)作業工藝緊(jin)密(mi)相(xiang)關,而且對(dui)(dui)填(tian)(tian)埋(mai)庫(ku)容(rong)有著重要影(ying)響。就圍(wei)堤斷(duan)面(mian)設計而言(yan),一般盡(jin)可(ke)能希望圍(wei)堤較(jiao)高(gao)(gao),坡面(mian)較(jiao)陡,以(yi)節省圍(wei)堤占地,增加填(tian)(tian)埋(mai)庫(ku)區(qu)面(mian)積(ji),增加填(tian)(tian)埋(mai)庫(ku)容(rong)。但(dan)是,在圍(wei)堤較(jiao)高(gao)(gao)時(shi),為確保圍(wei)堤穩定,控制變形,圍(wei)堤斷(duan)面(mian)坡度(du)通常較(jiao)緩(huan),此(ci)時(shi),過渡的(de)(de)追求圍(wei)堤高(gao)(gao)度(du)勢(shi)必造(zao)成圍(wei)堤占地大大增加,從(cong)而影(ying)響填(tian)(tian)埋(mai)庫(ku)容(rong)。
因(yin)此,圍(wei)(wei)(wei)堤(di)工程建設時若(ruo)能增加(jia)(jia)圍(wei)(wei)(wei)堤(di)邊坡坡度,將縮小圍(wei)(wei)(wei)堤(di)占地,增加(jia)(jia)填埋庫(ku)容。此時,為保證(zheng)圍(wei)(wei)(wei)堤(di)穩定安全(quan)要求(qiu),必須采取其它(ta)措(cuo)施(shi)對(dui)圍(wei)(wei)(wei)堤(di)進行加(jia)(jia)固(gu)(gu)處理。在各種圍(wei)(wei)(wei)堤(di)加(jia)(jia)固(gu)(gu)方法中,利用(yong)土(tu)工格柵加(jia)(jia)固(gu)(gu)軟基圍(wei)(wei)(wei)堤(di),具有施(shi)工方便、結(jie)構整體性較(jiao)(jiao)好、允許較(jiao)(jiao)大的變形而不(bu)失穩、柔(rou)性結(jie)構有利于防滲膜(mo)鋪設、且抗震性較(jiao)(jiao)好等優點,在工程應用(yong)中較(jiao)(jiao)為普遍。
利用(yong)土(tu)工(gong)(gong)格柵加(jia)固處理軟(ruan)(ruan)弱地(di)(di)基(ji)是一種簡便(bian)、經濟、實用(yong)的(de)方法,該技術在國(guo)外(wai)應用(yong)始于20世紀60年代,直(zhi)到80年代才被(bei)逐漸(jian)引(yin)入我國(guo)工(gong)(gong)程應用(yong)中。本文根據垃(la)圾填埋(mai)場圍(wei)(wei)(wei)堤工(gong)(gong)程的(de)特點,詮釋(shi)了(le)(le)圍(wei)(wei)(wei)堤加(jia)固后可能(neng)出(chu)現(xian)的(de)破壞形式(shi),據此闡述了(le)(le)土(tu)工(gong)(gong)格柵加(jia)筋處理軟(ruan)(ruan)土(tu)地(di)(di)基(ji)的(de)設計(ji)方法,并將該方法應用(yong)至張家港市垃(la)圾填埋(mai)場工(gong)(gong)程圍(wei)(wei)(wei)堤設計(ji)中,進一步優化(hua)了(le)(le)圍(wei)(wei)(wei)堤斷面,有效增加(jia)了(le)(le)填埋(mai)庫容。
2 軟基條件下加筋圍堤破壞形式
軟土為(wei)(wei)天(tian)然含水量(liang)大、孔隙比大、壓縮性高、滲透性低、承(cheng)載力低的淤(yu)(yu)泥(ni)質沉(chen)積物,主要由(you)淤(yu)(yu)泥(ni)、淤(yu)(yu)泥(ni)質土及泥(ni)炭組成。在軟土地(di)基上修筑圍堤(di)(di)容易(yi)產(chan)生地(di)基失穩、過大沉(chen)降及不均(jun)勻沉(chen)降等(deng)問題,因此必(bi)須采取加(jia)固措施進行處理。在前述加(jia)筋機(ji)理分(fen)析(xi)的基礎上,為(wei)(wei)選擇合(he)適(shi)的圍堤(di)(di)加(jia)固型(xing)式,有必(bi)要對軟基條件(jian)下加(jia)筋圍堤(di)(di)的破壞形式進行詮釋。
就(jiu)表現(xian)形(xing)式(shi)而言,在上覆荷(he)(he)載作(zuo)用(yong)下,軟土地(di)(di)基和(he)加筋(jin)土體(ti)的相互作(zuo)用(yong)可能產(chan)生(sheng)(sheng)以下破(po)壞(huai)形(xing)式(shi):①局(ju)部(bu)滑移,指(zhi)圍(wei)堤(di)沿(yan)著加筋(jin)坡面產(chan)生(sheng)(sheng)局(ju)部(bu)滑動,圖1-a;②整體(ti)滑動,指(zhi)圍(wei)堤(di)沿(yan)著軟基底(di)部(bu)發生(sheng)(sheng)整體(ti)失穩,圖1-b;③軟基擠出,因軟土地(di)(di)基局(ju)部(bu)承載力(li)不(bu)足,導致圍(wei)堤(di)坡腳(jiao)處的軟土側向擠出破(po)壞(huai),圖1-c;④過大沉降(jiang),指(zhi)在荷(he)(he)載短(duan)期和(he)長期作(zuo)用(yong)下產(chan)生(sheng)(sheng)的沉降(jiang)及不(bu)均(jun)勻沉降(jiang),圖1-d。
圖 1 加筋圍堤的破壞形式![]() ![]() |
3 軟基圍堤加筋計算方法
針對(dui)軟基加筋圍堤(di)(di)(di)可能出現的破(po)壞(huai)形(xing)式(shi),下面主要(yao)對(dui)堤(di)(di)(di)坡局部(bu)滑移和圍堤(di)(di)(di)整體滑動(dong)兩種破(po)壞(huai)形(xing)式(shi)進行(xing)計算分(fen)析。
3.1堤坡局部滑移
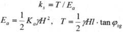
如圖1-a所示,假定堤坡產生局部滑移時,土體側向滑移力全部由土工格柵承擔,忽略土體本身的抗滑作用。此時,滑動力為土體主動土壓力Ea,抗滑力等于筋材張力T,兩者在滑動面上平衡,得抗滑安全系數為
![]() |
式中:Ka為主動土壓力系數,γsg為土體(ti)與(yu)格柵之間的界面摩擦角,ι滑移(yi)(yi)體(ti)長度(du),H為滑移(yi)(yi)體(ti)高度(du)。
當滿足穩定安全系數要求時(通常情況下,局部滑移安全系數Ks≥2),據此可以設計土工格柵加筋的長度:
![]() |
3.2圍堤整體滑動
當滑動面貫穿基土和堤身時,可采用修正的圓弧滑動條分法進行計算分析。先試算沒有加筋材料時的最危險滑弧,并假定加筋后滑弧的位置不變,且假設筋材產生的拉力沿水平方向,筋材拉力作用相當于增加了抗滑力矩,據此,可計算最危險狀態下的抗滑穩定安全系數。
![]() |
對整體抗(kang)滑穩定(ding)計算而言,其最(zui)小安全系數可參照(zhao)《堤(di)防(fang)工程(cheng)設(she)計規范》(GB50286-98)取(qu)值,對比較重要的圍堤(di)可取(qu)Ks≥1.3。
4 工程實例
張家港市地處長江下游南岸江蘇省境內,垃圾填埋場選址位于距張家港市區約45km的樂余鎮東沙東進村,擬建場址處于長江下游由北向東轉彎處南岸,屬長江三角洲沖積平原,地勢開闊平坦,地貌單元屬長江高河漫灘,為全新世和現代沉積物。場地區域長約500m,寬約400m,地面黃海高程一般為2.5m。
根(gen)據場(chang)(chang)地(di)(di)勘(kan)察(cha)報告,擬建(jian)場(chang)(chang)地(di)(di)30m深度范圍內地(di)(di)層(ceng)(ceng)由素填土(tu)(tu)、淤(yu)(yu)泥(ni)(ni)(ni)(ni)質(zhi)(zhi)(zhi)(zhi)粘(zhan)(zhan)土(tu)(tu)、粉(fen)(fen)質(zhi)(zhi)(zhi)(zhi)粘(zhan)(zhan)土(tu)(tu)、砂(sha)(sha)質(zhi)(zhi)(zhi)(zhi)粉(fen)(fen)土(tu)(tu)、粉(fen)(fen)砂(sha)(sha)等(deng)交錯組成,除淤(yu)(yu)泥(ni)(ni)(ni)(ni)質(zhi)(zhi)(zhi)(zhi)粘(zhan)(zhan)土(tu)(tu)等(deng)軟土(tu)(tu)層(ceng)(ceng)外(wai),其(qi)余各層(ceng)(ceng)地(di)(di)基承載力均(jun)在(zai)(zai)100kPa以(yi)上。但②層(ceng)(ceng)淤(yu)(yu)泥(ni)(ni)(ni)(ni)質(zhi)(zhi)(zhi)(zhi)粉(fen)(fen)質(zhi)(zhi)(zhi)(zhi)粘(zhan)(zhan)土(tu)(tu)、④-1淤(yu)(yu)泥(ni)(ni)(ni)(ni)質(zhi)(zhi)(zhi)(zhi)粉(fen)(fen)質(zhi)(zhi)(zhi)(zhi)粘(zhan)(zhan)土(tu)(tu)夾粉(fen)(fen)砂(sha)(sha)、④-3淤(yu)(yu)泥(ni)(ni)(ni)(ni)質(zhi)(zhi)(zhi)(zhi)粉(fen)(fen)質(zhi)(zhi)(zhi)(zhi)粘(zhan)(zhan)土(tu)(tu)夾粉(fen)(fen)砂(sha)(sha)、⑥層(ceng)(ceng)淤(yu)(yu)泥(ni)(ni)(ni)(ni)質(zhi)(zhi)(zhi)(zhi)粉(fen)(fen)質(zhi)(zhi)(zhi)(zhi)粘(zhan)(zhan)土(tu)(tu)、⑧層(ceng)(ceng)淤(yu)(yu)泥(ni)(ni)(ni)(ni)質(zhi)(zhi)(zhi)(zhi)粉(fen)(fen)質(zhi)(zhi)(zhi)(zhi)粘(zhan)(zhan)土(tu)(tu)等(deng)軟弱夾層(ceng)(ceng),各層(ceng)(ceng)厚度不一,其(qi)承載力均(jun)在(zai)(zai)80kPa以(yi)下。擬建(jian)場(chang)(chang)地(di)(di)范圍內分布土(tu)(tu)層(ceng)(ceng)主要物理力學指標(biao)如下所示(shi)。
表1 各土層主要物理力學指標![]() |
根(gen)據填埋(mai)(mai)作(zuo)業工(gong)藝要求(qiu),擬在填埋(mai)(mai)庫(ku)區(qu)筑堤以增(zeng)加填埋(mai)(mai)庫(ku)容,圍堤高度5.5m(黃海(hai)高程8.0m),靠(kao)庫(ku)區(qu)一側坡度1:2.靠(kao)外側坡度1:1。經抗滑(hua)(hua)穩(wen)定(ding)分析(xi),若不采取加筋處理,不能(neng)滿足抗滑(hua)(hua)穩(wen)定(ding)要求(qiu)。為此(ci),設計采用土工(gong)格(ge)柵加固圍堤,格(ge)柵參數(shu)如下表。
表2 圍堤土工格柵加筋情況![]() |
最(zui)不利(li)計算工(gong)況為,當垃圾堆(dui)體填至堤頂(ding)標高(8.0m)后,以(yi)1:3的(de)(de)填埋(mai)坡(po)度最(zui)終(zhong)填埋(mai)至34m(即(ji)高于地面31.5m,高于堤頂(ding)26m)。利(li)用前述計算方法對土(tu)工(gong)格(ge)柵(zha)加筋后的(de)(de)圍(wei)堤進(jin)行穩(wen)定評價,計算得圍(wei)堤抗(kang)滑穩(wen)定的(de)(de)最(zui)小安全系(xi)數k=1.37,大(da)于規范要求(Ks=1.3),可知采取土(tu)工(gong)格(ge)柵(zha)加固后圍(wei)堤滿(man)足穩(wen)定要求。
5 結論
根據軟基(ji)(ji)條件下垃圾填(tian)(tian)埋場(chang)圍(wei)(wei)(wei)堤(di)工(gong)程的(de)(de)特點(dian),分析了土工(gong)格(ge)柵加(jia)筋軟基(ji)(ji)圍(wei)(wei)(wei)堤(di)可(ke)能出現(xian)的(de)(de)破壞形式(shi),據此闡述了軟基(ji)(ji)圍(wei)(wei)(wei)堤(di)加(jia)筋設計方法,并將該方法應(ying)用(yong)至某垃圾填(tian)(tian)埋場(chang)圍(wei)(wei)(wei)堤(di)擋壩設計中。結果(guo)表明,采用(yong)土工(gong)格(ge)柵加(jia)固后,在較陡(dou)邊坡條件下圍(wei)(wei)(wei)堤(di)滿足抗滑穩(wen)定要求。利用(yong)土工(gong)格(ge)柵加(jia)固軟基(ji)(ji)圍(wei)(wei)(wei)堤(di)可(ke)縮小圍(wei)(wei)(wei)堤(di)斷(duan)面,節約圍(wei)(wei)(wei)堤(di)占(zhan)地(di),有(you)效(xiao)增加(jia)填(tian)(tian)埋庫容,具有(you)顯著的(de)(de)經濟效(xiao)益和社會效(xiao)益。
參考文獻:略

使用微信“掃一掃”功能添加“谷騰環保網”