火電機組鍋爐煙氣中SO2排放考核標準的探討
內容提供:廈門興銳達自(zi)動化設備有限(xian)公(gong)司
火(huo)電(dian)(dian)機組(zu)在(zai)(zai)燃煤(mei)發電(dian)(dian)的(de)(de)(de)同時,會排(pai)放(fang)(fang)出(chu)大(da)量的(de)(de)(de)SO2,對環境(jing)產(chan)生污染。目(mu)前(qian),國內已(yi)建(jian)或(huo)在(zai)(zai)建(jian)的(de)(de)(de)火(huo)電(dian)(dian)機組(zu)基本上沒有(you)采(cai)取(qu)降低SO2排(pai)放(fang)(fang)量的(de)(de)(de)措施,當鍋(guo)爐(lu)燃煤(mei)含硫(liu)量較高時,煙(yan)(yan)氣中(zhong)(zhong)SO2濃度就(jiu)較大(da)。隨著環境(jing)保護(hu)要求的(de)(de)(de)提(ti)高,對新建(jian)火(huo)電(dian)(dian)機組(zu)鍋(guo)爐(lu)煙(yan)(yan)氣中(zhong)(zhong)SO2排(pai)放(fang)(fang)實(shi)行(xing)嚴格的(de)(de)(de)考(kao)(kao)核是(shi)必要的(de)(de)(de)。但是(shi),對現階(jie)段的(de)(de)(de)已(yi)建(jian)或(huo)在(zai)(zai)建(jian)火(huo)電(dian)(dian)機組(zu)而言,尚無合適的(de)(de)(de)考(kao)(kao)核標準。如何針對現階(jie)段火(huo)電(dian)(dian)機組(zu)的(de)(de)(de)實(shi)際情(qing)況,合理考(kao)(kao)核其鍋(guo)爐(lu)煙(yan)(yan)氣中(zhong)(zhong)SO2排(pai)放(fang)(fang),有(you)待進一(yi)步(bu)探討(tao)。
一、煤種對煙氣中SO2排放濃度影響
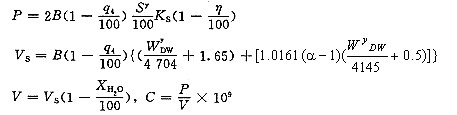
鍋爐(lu)煙(yan)氣中(zhong)(zhong)SO2排放(fang)濃(nong)度(du)大小(xiao)與鍋爐(lu)燃用(yong)煤種直接有關。為探討(tao)鍋爐(lu)燃煤對煙(yan)氣中(zhong)(zhong)SO2排放(fang)濃(nong)度(du)的影(ying)響,參照(zhao)《電力工(gong)業(ye)部環境統計(ji)報(bao)表指標解釋》,采用(yong)以下方(fang)法計(ji)算鍋爐(lu)煙(yan)氣中(zhong)(zhong)SO2排放(fang)濃(nong)度(du)。
![]() |
式中:P——鍋爐SO2排(pai)放量,t/h;
VS——鍋爐年平均負荷下除塵器出口(kou)濕煙氣(qi)排 放率,Nm3/h;
V——鍋爐年平(ping)均負荷下除塵器出口干煙氣排放(fang)率,Nm3/h;
C——鍋爐(lu)除(chu)塵器出口SO2排放(fang)濃度,mg/m3(標干煙氣);
B——鍋爐(lu)年平(ping)均(jun)負荷(he)下每小時燃原煤(mei)量,t/h;
q4——機械未(wei)完全燃(ran)燒熱損失,%;
WyDW——燃煤(mei)應用基低(di)位(wei)發熱量,kJ/kg;
α——除塵器出口過剩空氣(qi)系(xi)數;
XH2O——煙(yan)氣含(han)濕量,%;
Sy——燃(ran)煤(mei)收到基硫分,%;
KS——煤(mei)中(zhong)硫轉化為SO2的(de)份額,根(gen)據爐(lu)(lu)(lu)型取值,煤(mei)粉爐(lu)(lu)(lu)為0.85,增(zeng)(zeng)鈣旋(xuan)風(feng)爐(lu)(lu)(lu)為0.90,不增(zeng)(zeng)鈣旋(xuan)風(feng)爐(lu)(lu)(lu)為0.95,燃油爐(lu)(lu)(lu)0.98。
η——脫(tuo)硫效率,%。無實測(ce)數據時,按下面規定(ding)取值,干式(shi)除塵器(qi)(qi)為(wei)0,水膜除塵器(qi)(qi)為(wei)5%,文丘里、斜棒柵(zha)、泡(pao)沫除塵器(qi)(qi)為(wei)15%計。
根據新建機(ji)組(zu)情況,取α=1.7,XH2O=8%,KS=0.85,η=0。此(ci)時(shi),煙氣(qi)中(zhong)SO2排放(fang)濃度(du)(du)C是燃(ran)煤(mei)含(han)硫(liu)量(liang)Sy與(yu)低(di)位(wei)發熱量(liang)WyDW的(de)函數,不(bu)同WyDW時(shi),可(ke)繪制Sy與(yu)C的(de)關(guan)系曲線,見(jian)圖(tu)1。當Sy=1.0%,C=2100mg/m3(標(biao)干煙氣(qi))時(shi),WyDW=17683kJ/kg。從圖(tu)1可(ke)看(kan)出(chu),當Sy≤1.0%,WyDW在18 000~28000kJ/kg之間時(shi),C都(dou)在2100mg/m3(標(biao)干煙氣(qi))以下。火電廠燃(ran)用(yong)煤(mei)種(zhong)的(de)低(di)位(wei)發熱量(liang)大(da)都(dou)在20000kJ/kg左右,說明當燃(ran)煤(mei)含(han)硫(liu)量(liang)不(bu)大(da)于(yu)1%時(shi),煙氣(qi)中(zhong)SO2排放(fang)濃度(du)(du)一般(ban)不(bu)會超過(guo)2100mg/m3(標(biao)干煙氣(qi))。燃(ran)煤(mei)含(han)硫(liu)量(liang)大(da)于(yu)1%時(shi),煙氣(qi)中(zhong)SO2排放(fang)濃度(du)(du)將會超過(guo)2100mg/m3(標(biao)干煙氣(qi))。不(bu)同燃(ran)煤(mei)硫(liu)分與(yu)熱值下,煙氣(qi)中(zhong)SO2排放(fang)濃度(du)(du)列于(yu)表(biao)1。燃(ran)煤(mei)硫(liu)分越高(gao)(gao),熱值越低(di),煙氣(qi)中(zhong)SO2排放(fang)濃度(du)(du)越高(gao)(gao)。
表(biao)1 不同燃煤硫分(fen)與熱值下(xia)煙氣(qi)中SO2排放濃度
|
![]() 圖1 煙氣中SO2濃度與燃煤含硫量、熱值關系曲線 |
隨(sui)著我國電(dian)(dian)力(li)工業的迅速發(fa)展,新(xin)建(jian)的火(huo)(huo)電(dian)(dian)機組容(rong)量一(yi)般都(dou)在(zai)200 MW及以(yi)上,鍋(guo)(guo)爐(lu)蒸發(fa)量都(dou)在(zai)670t/h及以(yi)上。依(yi)據火(huo)(huo)電(dian)(dian)廠鍋(guo)(guo)爐(lu)容(rong)量大及鍋(guo)(guo)爐(lu)燃煤含硫量較(jiao)高(gao)、煙氣(qi)中(zhong)(zhong)SO2濃度(du)較(jiao)大這(zhe)一(yi)實際情(qing)況來看,在(zai)考評火(huo)(huo)電(dian)(dian)機組鍋(guo)(guo)爐(lu)煙氣(qi)中(zhong)(zhong)SO2排(pai)放濃度(du)是否(fou)超(chao)標(biao)時,建(jian)議(yi)采用《火(huo)(huo)電(dian)(dian)廠大氣(qi)污染物排(pai)放標(biao)準》(GB13223-1996)(以(yi)下簡稱(cheng)《標(biao)準》)作為考評標(biao)準。
《標(biao)準》將火電(dian)(dian)廠(chang)(chang)按年(nian)限分為3個時段(duan),屬于第(di)Ⅲ時段(duan)的火電(dian)(dian)廠(chang)(chang)是指1997年(nian)1月(yue)1日(ri)起環境影響報告書待(dai)審查批準的新、擴(kuo)、改建火電(dian)(dian)廠(chang)(chang)。對屬于第(di)Ⅰ、Ⅱ 時段(duan)的火電(dian)(dian)廠(chang)(chang),《標(biao)準》規定(ding)(ding)其(qi)全(quan)(quan)廠(chang)(chang)SO2排(pai)(pai)放(fang)量不(bu)得超過計算出的全(quan)(quan)廠(chang)(chang)SO2最大允(yun)(yun)許排(pai)(pai)放(fang)量。對屬于第(di)Ⅲ時段(duan)的火電(dian)(dian)廠(chang)(chang),《標(biao)準》要(yao)求較嚴(yan),除規定(ding)(ding)了(le)其(qi)全(quan)(quan)廠(chang)(chang) SO2最大允(yun)(yun)許排(pai)(pai)放(fang)量外(wai),同(tong)時還規定(ding)(ding)了(le)其(qi)各煙(yan)囪SO2最大允(yun)(yun)許排(pai)(pai)放(fang)濃度(見表2)。
表(biao)2 第三時段火電(dian)廠各煙囪SO2最高允許排放濃度
|
注(zhu):濃度應換算到過剩空氣系數α=1.4時的(de)濃度值(zhi)。
對屬于第Ⅰ或Ⅱ時段(duan)的(de)已建或在建火電機組,考評其鍋(guo)爐煙氣中SO2排放(fang)時,可參照執行《標(biao)準》中第Ⅲ時段(duan)標(biao)準。
三、合理考評煙氣中SO2排放的建議
考評火(huo)電(dian)機組鍋(guo)爐(lu)煙氣(qi)中SO2排放濃度(du)是(shi)否超標時,建議考慮火(huo)電(dian)機組的實際(ji)情況和鍋(guo)爐(lu)燃用(yong)煤種,實行按(an)煤種、分階段來考評。
(1) 當鍋(guo)(guo)爐燃用煤種硫分不大于1%時,鍋(guo)(guo)爐煙氣中SO2排(pai)放(fang)濃度(du)應(ying)不大于2100mg/m3(標(biao)干煙氣)。否則,SO2屬超(chao)標(biao)排(pai)放(fang)。
(2) 當鍋(guo)爐(lu)燃(ran)(ran)煤含(han)(han)硫(liu)(liu)(liu)量(liang)(liang)(liang)大于(yu)1.0%時(shi)(shi),《標(biao)準(zhun)》中(zhong)第Ⅲ時(shi)(shi)段標(biao)準(zhun)規定(ding)各(ge)煙(yan)囪SO2最(zui)高允許排(pai)(pai)放(fang)濃(nong)度為1200mg/m3(標(biao)干(gan)(gan)煙(yan)氣(qi)),這一限值明顯低于(yu)燃(ran)(ran)煤含(han)(han)硫(liu)(liu)(liu)量(liang)(liang)(liang)不(bu)大于(yu)1.0%時(shi)(shi)的限值2100mg/m3(標(biao)干(gan)(gan)煙(yan)氣(qi))。這實際上是(shi)規定(ding)第Ⅲ時(shi)(shi)段的火電(dian)機(ji)組在(zai)燃(ran)(ran)用(yong)高硫(liu)(liu)(liu)煤時(shi)(shi),應上脫(tuo)硫(liu)(liu)(liu)裝置(zhi),采(cai)(cai)取降低SO2 排(pai)(pai)放(fang)量(liang)(liang)(liang)措(cuo)施,使其煙(yan)氣(qi)中(zhong)SO2排(pai)(pai)放(fang)濃(nong)度低于(yu)1200mg/m3(標(biao)干(gan)(gan)煙(yan)氣(qi))。對不(bu)屬于(yu)第Ⅲ時(shi)(shi)段、又沒有采(cai)(cai)取脫(tuo)硫(liu)(liu)(liu)措(cuo)施的已建(jian)或在(zai)建(jian)火電(dian)機(ji)組,當其燃(ran)(ran)用(yong)含(han)(han)硫(liu)(liu)(liu)量(liang)(liang)(liang)大于(yu)1.0%的煤種時(shi)(shi),在(zai)現階段來講,亦建(jian)議按(an)表(biao)1中(zhong)WyDW=20000kJ/kg時(shi)(shi)SO2排(pai)(pai)放(fang)濃(nong)度作(zuo)為考評(ping)鍋(guo)爐(lu)煙(yan)氣(qi)中(zhong)SO2排(pai)(pai)放(fang)的參考標(biao)準(zhun)。
(3) 對屬于第Ⅲ時段的(de)火電機組,考評鍋爐(lu)煙(yan)氣(qi)(qi)中(zhong)SO2排放(fang)時,應嚴(yan)格執(zhi)行《標準》中(zhong)有關規定,鍋爐(lu)煙(yan)氣(qi)(qi)中(zhong)SO2排放(fang)濃度執(zhi)行表2中(zhong)的(de)規定值。
(4) 考(kao)評(ping)火電機組鍋爐煙氣中SO2排放(fang),其SO2監測點(dian)應設在除塵器出(chu)口。

使用微信“掃一掃”功能添加“谷騰環保網”