城市生活垃圾好氧堆肥通風系統設計
我國對城(cheng)(cheng)市(shi)生活垃(la)(la)圾的(de)(de)處理方式有填埋、焚燒(shao)、堆(dui)肥,其中尤以填埋為主。填埋作為廢物(wu)的(de)(de)最終處置(zhi)方式是(shi)可(ke)取(qu)的(de)(de),但(dan)由于(yu)我國80%以上的(de)(de)城(cheng)(cheng)市(shi)生活垃(la)(la)圾都是(shi)填埋處理,無疑造成這(zhe)一資(zi)(zi)源的(de)(de)浪費。城(cheng)(cheng)市(shi)生活垃(la)(la)圾中不僅蘊(yun)涵著(zhu)大量(liang)的(de)(de)能源物(wu)資(zi)(zi)(碳素(su)),也(ye)(ye)有著(zhu)豐富(fu)的(de)(de)作物(wu)所(suo)需營養物(wu)質(zhi)(氮、磷、鉀和微量(liang)元素(su))。而(er)堆(dui)肥處理可(ke)以很好地實現城(cheng)(cheng)市(shi)生活垃(la)(la)圾的(de)(de)資(zi)(zi)源化(hua)、減(jian)量(liang)化(hua)、無害化(hua),人(ren)們(men)也(ye)(ye)越來越關注城(cheng)(cheng)市(shi)生活垃(la)(la)圾的(de)(de)堆(dui)肥化(hua)設(she)計研究。
在城市(shi)生(sheng)活垃圾(ji)堆肥化設(she)計過(guo)程中(zhong),通(tong)(tong)風系(xi)統的(de)設(she)計是關鍵(jian),良好的(de)通(tong)(tong)風不僅(jin)能夠為(wei)(wei)垃圾(ji)堆體中(zhong)有機物(wu)好氧(yang)降解提(ti)(ti)供(gong)足(zu)夠的(de)氧(yang)量,而且也為(wei)(wei)微生(sheng)物(wu)充分發揮活性(xing)提(ti)(ti)供(gong)適宜的(de)溫度。合(he)理的(de)通(tong)(tong)風方(fang)式、通(tong)(tong)風量和(he)通(tong)(tong)風控(kong)制方(fang)法使(shi)生(sheng)活垃圾(ji)整個(ge)堆肥化過(guo)程能夠高效低(di)耗地進行。
1、通風方式的選擇
城(cheng)市生活垃(la)圾好氧堆(dui)肥的通(tong)風方式主要(yao)有自然通(tong)風、定期翻(fan)堆(dui)、強制通(tong)風。
自然(ran)(ran)通(tong)風亦即表(biao)面擴散(san)供(gong)(gong)氧(yang)(yang),是利用垃圾(ji)堆(dui)(dui)體(ti)(ti)表(biao)面與堆(dui)(dui)體(ti)(ti)內(nei)部氧(yang)(yang)的濃度差產生(sheng)擴散(san),使(shi)氧(yang)(yang)氣與物料接觸(chu)從(cong)而為垃圾(ji)發(fa)酵提(ti)供(gong)(gong)氧(yang)(yang)氣。經理論(lun)計算,通(tong)過(guo)表(biao)面擴散(san)供(gong)(gong)氧(yang)(yang),在一次發(fa)酵階段(duan)只能(neng)保證離表(biao)層22cm內(nei)有氧(yang)(yang)氣。顯(xian)然(ran)(ran)此種通(tong)風方式對垃圾(ji)堆(dui)(dui)體(ti)(ti)內(nei)部供(gong)(gong)氧(yang)(yang)明(ming)顯(xian)不足,堆(dui)(dui)體(ti)(ti)內(nei)部容易出現(xian)厭(yan)氧(yang)(yang)狀態(tai),堆(dui)(dui)肥(fei)(fei)過(guo)程(cheng)升溫與降溫非常(chang)緩(huan)慢,從(cong)而會(hui)延(yan)長堆(dui)(dui)肥(fei)(fei)周期。雖然(ran)(ran)節(jie)省能(neng)源,但并不適合(he)實際生(sheng)產。
定(ding)期翻(fan)(fan)堆(dui)(dui)(dui)(dui)則是在(zai)(zai)自然通風基礎上,在(zai)(zai)堆(dui)(dui)(dui)(dui)肥過(guo)程中(zhong)(zhong)對堆(dui)(dui)(dui)(dui)體(ti)(ti)(ti)進(jin)行翻(fan)(fan)堆(dui)(dui)(dui)(dui),利用固體(ti)(ti)(ti)物料(liao)的(de)(de)翻(fan)(fan)動使空氣進(jin)人固體(ti)(ti)(ti)顆粒的(de)(de)間(jian)隙中(zhong)(zhong)以(yi)(yi)達到供氧(yang)的(de)(de)目的(de)(de)。翻(fan)(fan)堆(dui)(dui)(dui)(dui)具有使堆(dui)(dui)(dui)(dui)料(liao)混合均勻(yun)、促(cu)進(jin)水分蒸發、干(gan)燥堆(dui)(dui)(dui)(dui)肥的(de)(de)優(you)點。但在(zai)(zai)堆(dui)(dui)(dui)(dui)肥升溫階段堆(dui)(dui)(dui)(dui)體(ti)(ti)(ti)需氧(yang)量加大,勢(shi)必(bi)要增加翻(fan)(fan)堆(dui)(dui)(dui)(dui)頻(pin)率,而(er)垃圾堆(dui)(dui)(dui)(dui)體(ti)(ti)(ti)內的(de)(de)氧(yang)在(zai)(zai)約30min后(hou)就被耗盡,因此(ci)必(bi)須以(yi)(yi)較高的(de)(de)頻(pin)率對堆(dui)(dui)(dui)(dui)體(ti)(ti)(ti)進(jin)行翻(fan)(fan)堆(dui)(dui)(dui)(dui)才能滿足堆(dui)(dui)(dui)(dui)體(ti)(ti)(ti)發酵所需的(de)(de)氧(yang),這在(zai)(zai)實壓生產中(zhong)(zhong)很難實現而(er)且也難以(yi)(yi)操作。
強制(zhi)通(tong)風是通(tong)過(guo)機械(xie)設備(bei)(風機)對堆(dui)(dui)體(ti)通(tong)風供氧(yang)。這種(zhong)通(tong)風方式(shi)在堆(dui)(dui)肥(fei)開始階(jie)段(duan)能(neng)充分供給(gei)堆(dui)(dui)體(ti)發酵(jiao)升溫(wen)所(suo)需的氧(yang),在高溫(wen)階(jie)段(duan)則(ze)可更(geng)好地(di)控制(zhi)堆(dui)(dui)體(ti)溫(wen)度使好氧(yang)菌保(bao)持活性(xing),在后期階(jie)段(duan)則(ze)起著去(qu)除水分、加(jia)快堆(dui)(dui)體(ti)降溫(wen)作用。與(yu)前兩種(zhong)通(tong)風方式(shi)相比,供氧(yang)效(xiao)果好,加(jia)快了(le)堆(dui)(dui)肥(fei)的反應(ying)速率,從而縮短堆(dui)(dui)肥(fei)周期,一(yi)般一(yi)次發酵(jiao)時間2d左右就可完成,在實際工程中此種(zhong)通(tong)風方式(shi)應(ying)用廣泛。
2、通風系統設計
在(zai)強制通(tong)風中,通(tong)風系統的設(she)計要合(he)理、高效,其(qi)中最重要的是通(tong)風管道設(she)計與風機的選擇。
2.1通風管道設計
通(tong)(tong)風(feng)系(xi)統設計之初(chu),應先根據堆體形狀大小和多少對通(tong)(tong)風(feng)管(guan)道進行(xing)合理布(bu)置(zhi)。通(tong)(tong)常遵(zun)循的(de)原則是:通(tong)(tong)風(feng)管(guan)道對稱(cheng)布(bu)置(zhi),通(tong)(tong)風(feng)管(guan)道上的(de)通(tong)(tong)風(feng)孔分布(bu)也應均(jun)勻(yun),從而保證對堆體各部(bu)分能均(jun)勻(yun)供氧(yang)使(shi)物料充(chong)分發酵。
整個通(tong)(tong)風(feng)系統通(tong)(tong)風(feng)量依據《城市生活垃圾堆肥處理廠(chang)技(ji)術評價(jia)指標》中靜態堆肥每立方米垃圾0.05~0.20m3/min的通(tong)(tong)風(feng)量取值(zhi),完全滿足堆體(ti)發酵過(guo)程中供(gong)氧及(ji)冷(leng)卻所需通(tong)(tong)風(feng)量。
按照通風設(she)計標(biao)準,通風系統(tong)中(zhong)干管(guan)(guan)風速應控制(zhi)為(wei)6~14m/s,支管(guan)(guan)則為(wei)2~8m/s。利(li)用如下公式確定各(ge)干管(guan)(guan)與(yu)支管(guan)(guan)管(guan)(guan)徑:
![]() |
式中,Q通過風管(guan)風量,m3/h;ν氣體(ti)設計流(liu)速,m/s;d風管(guan)管(guan)徑,mm。
2.2風機選擇
風(feng)機的選擇根據整(zheng)個(ge)通風(feng)系統所(suo)需風(feng)量及風(feng)壓確定。
其中風機額定(ding)風量由(you)下式確定(ding):
Q額=k•Q總,
式中,k通風(feng)系數,一般(ban)取1.1;Q總(zong)系統(tong)通風(feng)量(liang),m3/h;Q額(e)風(feng)機(ji)額(e)定風(feng)量(liang),m3/h。
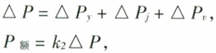
風機風壓要保證氣流能克服通風管道阻力并到達堆體中絕大部位,因此風機風壓可由下式確定:
![]() |
式中,△P壓力(li)(li)損(sun)失,Pa;△Py沿(yan)程阻力(li)(li),Pa;△Pj局部阻力(li)(li),Pa;△Pν堆體壓力(li)(li)降,Pa;k2壓力(li)(li)系數,一般取1.1。
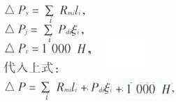
通風系統沿程阻力和局部阻力的計算應選擇通風系統中最不利環路,即選擇氣流路徑最長的管道計算。
![]() |
式中(zhong),li最(zui)(zui)不利環(huan)路(lu)中(zhong)不同管徑通風管管長,m;Rmi相(xiang)應風管單位長度摩(mo)擦阻(zu)力,Pa/m;ξi最(zui)(zui)不利環(huan)路(lu)中(zhong)彎頭、變(bian)(bian)徑管等局部(bu)阻(zu)力系(xi)數;Pdi經(jing)過彎頭、變(bian)(bian)徑處的氣體動壓,Pa;H堆體高(gao)度,m。
在已(yi)知通風(feng)管道(dao)風(feng)速(su)及風(feng)量情況(kuang)下(xia),從《全國通用(yong)通風(feng)管道(dao)計算(suan)表》直接(jie)或(huo)者利(li)用(yong)插分法得(de)到(dao)Rmi與(yu)Pdi的值(zhi);ξi值(zhi)根據風(feng)管實際連(lian)接(jie)情況(kuang)確定。
3、通風控(kong)制方法(fa)的確(que)定(ding)
在好氧(yang)堆肥過程(cheng)不(bu)(bu)同階段,通風目的也會不(bu)(bu)同,因(yin)此(ci)通風控(kong)制要(yao)有針對性。
通(tong)常(chang)把好氧(yang)堆(dui)(dui)(dui)肥過程分為(wei)升(sheng)(sheng)溫(wen)(wen)階(jie)段(duan)(duan)、高(gao)溫(wen)(wen)階(jie)段(duan)(duan)、降溫(wen)(wen)階(jie)段(duan)(duan)。當垃(la)圾進(jin)(jin)人(ren)堆(dui)(dui)(dui)肥車間(jian)(jian)后,就(jiu)(jiu)開(kai)始進(jin)(jin)人(ren)堆(dui)(dui)(dui)肥的升(sheng)(sheng)溫(wen)(wen)階(jie)段(duan)(duan),此階(jie)段(duan)(duan)嗜溫(wen)(wen)性(xing)微(wei)生(sheng)物(wu)(wu)比較(jiao)活躍進(jin)(jin)而分解(jie)堆(dui)(dui)(dui)體(ti)中的有機(ji)物(wu)(wu),通(tong)風主要(yao)是為(wei)微(wei)生(sheng)物(wu)(wu)發酵(jiao)提(ti)供氧(yang)氣,當堆(dui)(dui)(dui)體(ti)溫(wen)(wen)度(du)逐漸上(shang)升(sheng)(sheng)至45℃,堆(dui)(dui)(dui)肥進(jin)(jin)人(ren)高(gao)溫(wen)(wen)階(jie)段(duan)(duan);在高(gao)溫(wen)(wen)階(jie)段(duan)(duan)嗜熱性(xing)微(wei)生(sheng)物(wu)(wu)代替嗜溫(wen)(wen)性(xing)微(wei)生(sheng)物(wu)(wu)進(jin)(jin)行分解(jie)活動(dong),堆(dui)(dui)(dui)體(ti)溫(wen)(wen)度(du)由 45℃升(sheng)(sheng)高(gao)到(dao)70℃以上(shang),微(wei)生(sheng)物(wu)(wu)的分解(jie)活動(dong)在此溫(wen)(wen)度(du)下就(jiu)(jiu)會(hui)受到(dao)限制,此時通(tong)風目的除為(wei)微(wei)生(sheng)物(wu)(wu)活動(dong)提(ti)供氧(yang)外還應起(qi)著(zhu)降溫(wen)(wen)冷卻(que)作用;當高(gao)溫(wen)(wen)持續一段(duan)(duan)時間(jian)(jian)后,隨著(zhu)微(wei)生(sheng)物(wu)(wu)活動(dong)的減(jian)弱,溫(wen)(wen)度(du)開(kai)始下降到(dao)40℃左右,堆(dui)(dui)(dui)體(ti)需氧(yang)量(liang)大大減(jian)少,此階(jie)段(duan)(duan)則主要(yao)應進(jin)(jin)行散熱通(tong)風。
根據以(yi)上分(fen)析,在堆(dui)(dui)肥升溫(wen)(wen)(wen)階段(duan)及(ji)高溫(wen)(wen)(wen)階段(duan)應進行(xing)鼓風(feng)(feng),通風(feng)(feng)量(liang)(liang)略大于降溫(wen)(wen)(wen)階段(duan)通風(feng)(feng)量(liang)(liang),既達到為垃圾堆(dui)(dui)體(ti)發酵(jiao)過程供氧的目的,又防止因風(feng)(feng)量(liang)(liang)過大而(er)導致垃圾堆(dui)(dui)體(ti)難以(yi)升溫(wen)(wen)(wen);而(er)降溫(wen)(wen)(wen)階段(duan)應進行(xing)抽風(feng)(feng),這將有利于堆(dui)(dui)體(ti)盡快(kuai)降溫(wen)(wen)(wen)、排除堆(dui)(dui)體(ti)多余水分(fen)。
通風(feng)具體控制方法可(ke)分為溫度反饋(kui)控制法、耗氧(yang)速率控制法及綜合控制法。
溫(wen)(wen)(wen)度反饋(kui)控制法(fa)是通過(guo)溫(wen)(wen)(wen)度傳(chuan)感器反饋(kui)堆(dui)(dui)體內部溫(wen)(wen)(wen)度來控制風機通斷、鼓(gu)風或抽風的方(fang)法(fa),使(shi)堆(dui)(dui)體溫(wen)(wen)(wen)度在高溫(wen)(wen)(wen)階段維(wei)持在60℃以(yi)下,55℃以(yi)上5~l0d,達到無(wu)害(hai)化;在降(jiang)溫(wen)(wen)(wen)階段堆(dui)(dui)體能迅速降(jiang)溫(wen)(wen)(wen),完成(cheng)堆(dui)(dui)肥化。
耗氧(yang)(yang)速率(lv)控(kong)(kong)制(zhi)法(fa)是(shi)通(tong)過氧(yang)(yang)氣(qi)(qi)傳(chuan)(chuan)感(gan)器測(ce)(ce)定堆(dui)體內(nei)部耗氧(yang)(yang)速率(lv)來(lai)控(kong)(kong)制(zhi)通(tong)風(feng)量的大小及通(tong)風(feng)時間,使堆(dui)體內(nei)部耗氧(yang)(yang)速率(lv)保持在好氧(yang)(yang)微(wei)生(sheng)物活動所需氧(yang)(yang)濃度(du)10%以上。綜(zong)合控(kong)(kong)制(zhi)法(fa)則是(shi)指(zhi)將(jiang)溫(wen)度(du)傳(chuan)(chuan)感(gan)器和氧(yang)(yang)氣(qi)(qi)傳(chuan)(chuan)感(gan)器所測(ce)(ce)得的數據連續輸人計(ji)算機,經過程序加工處理后,來(lai)反饋控(kong)(kong)制(zhi)風(feng)機的通(tong)斷(duan),它可將(jiang)溫(wen)度(du)反饋控(kong)(kong)制(zhi)法(fa)和耗氧(yang)(yang)速率(lv)控(kong)(kong)制(zhi)法(fa)有機結合起來(lai),保持最佳的堆(dui)溫(wen)和氧(yang)(yang)含量,使水分含量逐漸降低,從而獲得滿意(yi)的衛生(sheng)學效果和合格的堆(dui)肥(fei)產品(pin),并實(shi)現(xian)堆(dui)肥(fei)通(tong)風(feng)系統的自動化控(kong)(kong)制(zhi)。
在垃圾堆(dui)肥過(guo)程中(zhong)主要是微生物的好氧分解,雖然耗(hao)氧速率(lv)控(kong)(kong)(kong)制(zhi)法(fa)(fa)(fa)能夠對堆(dui)肥過(guo)程進(jin)行最為直接(jie)有效(xiao)地控(kong)(kong)(kong)制(zhi),但并不能很好地控(kong)(kong)(kong)制(zhi)堆(dui)體溫度。相(xiang)反溫度反饋控(kong)(kong)(kong)制(zhi)法(fa)(fa)(fa)則可(ke)以,并且可(ke)有效(xiao)去除(chu)堆(dui)體內多余水分。綜合控(kong)(kong)(kong)制(zhi)法(fa)(fa)(fa)對整個(ge)堆(dui)肥系統的要求(qiu)較高。
因此,在(zai)實(shi)際(ji)生產(chan)中,更多的選用溫度反(fan)饋控(kong)制法。
4、應用實例
某市(shi)垃(la)(la)圾(ji)綜合處(chu)理(li)廠堆(dui)肥車間設計處(chu)理(li)規模為80t/d,采(cai)用靜態好氧強制(zhi)通風方式,設計一(yi)次(ci)發酵周期20d。堆(dui)體(ti)大小30m×4m×2.5m,兩(liang)天垃(la)(la)圾(ji)量作為一(yi)個堆(dui)體(ti)(垃(la)(la)圾(ji)容(rong)重按0.6t/m3)。
通(tong)風(feng)管道布(bu)置遵循均勻對稱原則,在堆體底(di)部中間(jian)縱向(xiang)鋪(pu)設通(tong)風(feng)干管,長29.5m,干管兩側對稱布(bu)置長1.8m支(zhi)管,相(xiang)鄰支(zhi)管縱向(xiang)間(jian)隔3m,支(zhi)管周身穿孔(kong),孔(kong)徑10mm,間(jian)距50mm。
依據《城(cheng)市生(sheng)活垃圾(ji)堆(dui)肥(fei)處理廠技術(shu)評價指標(biao)》,每(mei)個(ge)堆(dui)體所(suo)需通風量為1800m3/h,每(mei)路支管風量為90m3/h。
采用假(jia)定流(liu)速(su)法(fa)確定干(gan)管管徑為(wei)250mm,支(zhi)管管徑為(wei)100mm。根據上面(mian)方(fang)法(fa)分別計算整個風系統(tong)管路(lu)阻(zu)力△P=2616.5Pa,其中(zhong)沿程阻(zu)力△Py=53.9Pa,局部阻(zu)力△Pj=62.6Pa(包(bao)括風機(ji)出口壓(ya)力損失),堆體壓(ya)力降△Pv=2500Pa.
在(zai)保證通(tong)風(feng)(feng)系(xi)統運(yun)行時風(feng)(feng)量(liang)(liang)和(he)風(feng)(feng)壓(ya)有(you)一定余量(liang)(liang)情況下(xia),風(feng)(feng)機(ji)依(yi)據風(feng)(feng)量(liang)(liang)為1980m3/h和(he)風(feng)(feng)壓(ya)為2883Pa選擇(ze)4-72No5A離心通(tong)風(feng)(feng)機(ji)。
為使整個通(tong)風(feng)系統運行合理有效(xiao),在(zai)堆(dui)(dui)(dui)肥(fei)過程(cheng)中有必(bi)要采用變化的(de)通(tong)風(feng)量(liang)(liang)。堆(dui)(dui)(dui)肥(fei)初期風(feng)機(ji)以較小風(feng)量(liang)(liang)對堆(dui)(dui)(dui)體(ti)進行鼓風(feng),使堆(dui)(dui)(dui)體(ti)溫(wen)度逐漸(jian)上引至55℃以上;接(jie)著(zhu)加大通(tong)風(feng)量(liang)(liang),使反(fan)應(ying)熱與散熱量(liang)(liang)持平,防止堆(dui)(dui)(dui)溫(wen)高于60℃不利于微生物的(de)活動,當(dang)堆(dui)(dui)(dui)溫(wen)在(zai)55~60℃就停(ting)(ting)止通(tong)風(feng),當(dang)堆(dui)(dui)(dui)溫(wen)超過60℃時就開(kai)啟風(feng)機(ji),風(feng)機(ji)的(de)開(kai)停(ting)(ting)由安置在(zai)堆(dui)(dui)(dui)體(ti)中的(de)溫(wen)度反(fan)饋(kui)器來控制,如此反(fan)復(fu),持幸7~10d;后期則改(gai)為抽風(feng)方式,逐漸(jian)減少通(tong)風(feng)量(liang)(liang),使堆(dui)(dui)(dui)溫(wen)降低(di)。
5、結束語
在堆(dui)肥通(tong)(tong)風系統設計中(zhong),堆(dui)肥一(yi)次(ci)發(fa)酵通(tong)(tong)常應選擇強制通(tong)(tong)風的(de)通(tong)(tong)風方(fang)式,縮短堆(dui)肥周期,為堆(dui)肥生產運行(xing)提供保障(zhang)。出于(yu)節約能(neng)源的(de)目的(de),二次(ci)發(fa)酵可(ke)選擇自然通(tong)(tong)風方(fang)式,使堆(dui)肥最(zui)終干化(hua)(hua),完成(cheng)垃(la)圾(ji)堆(dui)肥化(hua)(hua)。
堆(dui)肥(fei)是將(jiang)城(cheng)市垃圾轉化為資(zi)源的(de)(de)(de)有效(xiao)方法,隨著社(she)會(hui)經濟的(de)(de)(de)發展(zhan),資(zi)源和環境問題會(hui)受(shou)到廣(guang)泛的(de)(de)(de)重視(shi),對城(cheng)市垃圾的(de)(de)(de)堆(dui)肥(fei)處理(li)有著很好的(de)(de)(de)應(ying)用前景,堆(dui)肥(fei)通風(feng)系統的(de)(de)(de)合理(li)設計(ji)將(jiang)保證(zheng)垃圾堆(dui)肥(fei)的(de)(de)(de)高效(xiao)低耗。

使用微信“掃一掃”功能添加“谷騰環保網”