深基坑抽水回灌的二次效應分析
深(shen)基坑的降水(shui)(shui)回(hui)(hui)灌(guan)會引(yin)起(qi)基坑周(zhou)圍(wei)地下水(shui)(shui)位(wei)和土的物理性(xing)質和力(li)學性(xing)質改(gai)變。基坑內抽出的水(shui)(shui)回(hui)(hui)灌(guan)到潛(qian)(qian)水(shui)(shui)含(han)(han)水(shui)(shui)層(ceng),引(yin)起(qi)潛(qian)(qian)水(shui)(shui)位(wei)上升(sheng),在水(shui)(shui)位(wei)變化(hua)帶內土體(ti)含(han)(han)水(shui)(shui)量增(zeng)大,c、φ值減小,水(shui)(shui)、土壓(ya)力(li)都發生(sheng)了改(gai)變。當基坑內抽出的水(shui)(shui)回(hui)(hui)灌(guan)到深(shen)層(ceng)的承(cheng)壓(ya)含(han)(han)水(shui)(shui)層(ceng)內時,承(cheng)壓(ya)水(shui)(shui)頭上升(sheng),不利于基坑底部抗隆(long)起(qi),也可能對(dui)相(xiang)鄰基坑產生(sheng)不利影響。這些(xie)由于抽水(shui)(shui)回(hui)(hui)灌(guan)所(suo)引(yin)起(qi)的變化(hua)稱為二次效(xiao)應。
1 降水引起水位變化(hua)帶內(nei)的側壓力(li)變化(hua)
1.1 基(ji)坑內外無滲流(liu)條(tiao)件下(xia)的側壓(ya)力變(bian)化
基坑(keng)內(nei)(nei)以(yi)一(yi)定流量抽水(shui),并(bing)回灌(guan)到基坑(keng)外的(de)潛水(shui)含水(shui)層中,基坑(keng)內(nei)(nei)外無(wu)水(shui)力(li)(li)聯系。主(zhu)動(dong)土(tu)(tu)壓(ya)(ya)(ya)力(li)(li)區(qu)水(shui)位上升,被(bei)(bei)動(dong)土(tu)(tu)壓(ya)(ya)(ya)力(li)(li)區(qu)水(shui)位下降,水(shui)位變(bian)(bian)(bian)化(hua)(hua)帶(dai)內(nei)(nei)土(tu)(tu)體(ti)的(de)物理和(he)力(li)(li)學性(xing)質(zhi)指標均發生變(bian)(bian)(bian)化(hua)(hua),作用在支(zhi)護結構上的(de)側(ce)壓(ya)(ya)(ya)力(li)(li)也相應(ying)改(gai)變(bian)(bian)(bian)。從水(shui)位變(bian)(bian)(bian)化(hua)(hua)前后(hou)砂土(tu)(tu)的(de)側(ce)壓(ya)(ya)(ya)力(li)(li)計算(suan)結果可知(zhi),水(shui)位變(bian)(bian)(bian)化(hua)(hua)帶(dai)內(nei)(nei)側(ce)壓(ya)(ya)(ya)力(li)(li)增(zeng)加很大(da),對粗(cu)顆(ke)(ke)(ke)粒(li)(li)土(tu)(tu)來(lai)說,水(shui)位上升后(hou)水(shui)位變(bian)(bian)(bian)化(hua)(hua)帶(dai)內(nei)(nei)側(ce)壓(ya)(ya)(ya)力(li)(li)增(zeng)加了60%~120%,土(tu)(tu)顆(ke)(ke)(ke)粒(li)(li)越(yue)粗(cu),側(ce)壓(ya)(ya)(ya)力(li)(li)改(gai)變(bian)(bian)(bian)越(yue)大(da);對同一(yi)種土(tu)(tu),孔隙比越(yue)小側(ce)壓(ya)(ya)(ya)力(li)(li)增(zeng)加越(yue)大(da)。因此,建議對水(shui)位變(bian)(bian)(bian)化(hua)(hua)帶(dai)范(fan)圍內(nei)(nei)的(de)主(zhu)動(dong)土(tu)(tu)壓(ya)(ya)(ya)力(li)(li)應(ying)乘(cheng)以(yi)修(xiu)正(zheng)(zheng)系數(shu)1.6~2.2(粗(cu)顆(ke)(ke)(ke)粒(li)(li)土(tu)(tu)取大(da)值,細(xi)顆(ke)(ke)(ke)粒(li)(li)土(tu)(tu)取小值);被(bei)(bei)動(dong)土(tu)(tu)壓(ya)(ya)(ya)力(li)(li)應(ying)乘(cheng)以(yi)修(xiu)正(zheng)(zheng)系數(shu)1.5(對砂土(tu)(tu)而言)。基坑(keng)底部一(yi)般為粘土(tu)(tu)或水(shui)泥土(tu)(tu),水(shui)位升降對被(bei)(bei)動(dong)區(qu)土(tu)(tu)的(de)側(ce)壓(ya)(ya)(ya)力(li)(li)改(gai)變(bian)(bian)(bian)較(jiao)小。
1.2 基(ji)坑內外有(you)滲流時作用在(zai)支護結構上的側壓力
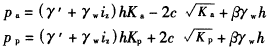
基(ji)坑(keng)(keng)(keng)的(de)防滲(shen)(shen)帷幕打入弱(ruo)透水層中,井點降水以維持基(ji)坑(keng)(keng)(keng)開(kai)挖為目的(de)。基(ji)坑(keng)(keng)(keng)內外有(you)水力(li)聯系,在基(ji)坑(keng)(keng)(keng)周(zhou)圍產生(sheng)了滲(shen)(shen)流力(li),其方向與流線的(de)方向一致;在基(ji)坑(keng)(keng)(keng)外側產生(sheng)向下的(de)滲(shen)(shen)流力(li),在基(ji)坑(keng)(keng)(keng)底部產生(sheng)向上(shang)的(de)滲(shen)(shen)流力(li)。其作用結果就相當(dang)于土(tu)體的(de)重度增加(jia)或減小。水位以下支(zhi)護結構上(shang)的(de)主動土(tu)壓力(li)和被(bei)動土(tu)壓力(li)為:
![]() |
式中(zhong)p a、p p分別(bie)為(wei)水位變化(hua)帶主、被動土壓(ya)力(li)強度(du)(kPa);K a、K p分別(bie)為(wei)主、被動土壓(ya)力(li)系(xi)數;γ、γ′分別(bie)為(wei)水位變化(hua)帶土體的天然(ran)重度(du)和(he)浮重度(du)(kN/m3);γ wiz為(wei)滲(shen)流力(li)(kN/m3);γ wh為(wei)水位變化(hua)帶的靜(jing)水壓(ya)力(li)(kPa);β為(wei)靜(jing)水壓(ya)力(li)修(xiu)正系(xi)數;h為(wei)水位變化(hua)高(gao)度(du)(m);c為(wei)水位變化(hua)帶土體內聚力(li)(kPa);i z為(wei)深度(du)z處的水力(li)坡度(du),可根據(ju)流網圖求(qiu)得。
從上(shang)式可知(zhi),考慮滲流力(li)時(shi),主動土(tu)壓力(li)增大,被動土(tu)壓力(li)減(jian)小。
2 深層回灌對(dui)基坑隆(long)起的影(ying)響(xiang)
基坑(keng)(keng)抽(chou)出的(de)水(shui)(shui)回灌(guan)到深部的(de)承(cheng)壓(ya)(ya)(ya)含水(shui)(shui)層(ceng)(ceng)內,使承(cheng)壓(ya)(ya)(ya)水(shui)(shui)頭(tou)抬高(gao)(gao)。因此,按天然狀態的(de)承(cheng)壓(ya)(ya)(ya)水(shui)(shui)頭(tou)進行(xing)基坑(keng)(keng)抗隆起驗算(suan)肯定不(bu)安全,應該考慮回灌(guan)所引起的(de)水(shui)(shui)位(wei)變(bian)(bian)化。水(shui)(shui)位(wei)變(bian)(bian)化后承(cheng)壓(ya)(ya)(ya)水(shui)(shui)壓(ya)(ya)(ya)力應小(xiao)于隔(ge)水(shui)(shui)頂(ding)板的(de)自重(zhong)。回灌(guan)后的(de)承(cheng)壓(ya)(ya)(ya)水(shui)(shui)頭(tou)在(zai)設計階段很難確定,它涉及(ji)到整個承(cheng)壓(ya)(ya)(ya)含水(shui)(shui)層(ceng)(ceng)的(de)補(bu)給(gei)、徑(jing)流問題,但可通過控制(zhi)回灌(guan)層(ceng)(ceng)的(de)水(shui)(shui)頭(tou)高(gao)(gao)度來保證基坑(keng)(keng)穩定。因此,基坑(keng)(keng)抽(chou)水(shui)(shui)回灌(guan)時,宜在(zai)承(cheng)壓(ya)(ya)(ya)含水(shui)(shui)層(ceng)(ceng)布置觀測井(jing),用以觀測承(cheng)壓(ya)(ya)(ya)水(shui)(shui)頭(tou)的(de)變(bian)(bian)化。另外,基坑(keng)(keng)降水(shui)(shui)宜采用間歇式,使開(kai)挖和降水(shui)(shui)穿(chuan)插進行(xing),這(zhe)樣(yang)既不(bu)誤工,又控制(zhi)了(le)承(cheng)壓(ya)(ya)(ya)水(shui)(shui)頭(tou)持續上升。
3 基坑出現(xian)水抽不干(gan)現(xian)象的分析
當回(hui)灌(guan)層與降水(shui)(shui)含水(shui)(shui)層之間有(you)(you)水(shui)(shui)力聯(lian)系時(圖1),回(hui)灌(guan)后的地(di)下水(shui)(shui)會重新(xin)流入抽(chou)水(shui)(shui)井內,因此,回(hui)灌(guan)井不(bu)能(neng)和抽(chou)水(shui)(shui)井在同一層。淺層抽(chou)水(shui)(shui)應深層回(hui)灌(guan),深層抽(chou)水(shui)(shui)則應淺層回(hui)灌(guan)。同時,應了解隔水(shui)(shui)層的分布是(shi)否有(you)(you)不(bu)連(lian)續(xu)或(huo)有(you)(you)豎向裂隙存在,這些都(dou)是(shi)地(di)下水(shui)(shui)滲流通道,是(shi)造成基坑(keng)水(shui)(shui)抽(chou)不(bu)干的主要原因。
![]() |
圖1 抽水層與回灌層之間有水力聯系
(a)抽(chou)水(shui)回灌同(tong)層(ceng)(ceng);(b)抽(chou)水(shui)層(ceng)(ceng)與回灌層(ceng)(ceng)之間的粘土層(ceng)(ceng)不連續
4 降水回灌對附近(jin)地下工(gong)程的影響
深(shen)層回灌引起承壓水(shui)頭上升,不僅影(ying)響(xiang)(xiang)本基(ji)(ji)(ji)(ji)(ji)坑底部(bu)穩(wen)定(ding),也影(ying)響(xiang)(xiang)附近(jin)(jin)基(ji)(ji)(ji)(ji)(ji)坑底部(bu)的(de)(de)穩(wen)定(ding),尤(you)其是當附近(jin)(jin)基(ji)(ji)(ji)(ji)(ji)坑比正在抽水(shui)回灌的(de)(de)基(ji)(ji)(ji)(ji)(ji)坑深(shen)時,這種影(ying)響(xiang)(xiang)更大(da)(圖2)。回灌使(shi)整個(ge)承壓含水(shui)層水(shui)位(wei)(wei)抬高(gao),對相鄰(lin)基(ji)(ji)(ji)(ji)(ji)坑也會產生影(ying)響(xiang)(xiang),但驗算(suan)基(ji)(ji)(ji)(ji)(ji)坑抗隆起時相鄰(lin)基(ji)(ji)(ji)(ji)(ji)坑的(de)(de)影(ying)響(xiang)(xiang)是無法考慮的(de)(de),只能在基(ji)(ji)(ji)(ji)(ji)坑降水(shui)過程中,在相鄰(lin)基(ji)(ji)(ji)(ji)(ji)坑布置觀測孔,監測水(shui)位(wei)(wei)變化,以保證基(ji)(ji)(ji)(ji)(ji)底安全。
![]() |
圖2 回灌對(dui)附近(jin)基坑的影響
5 結論
(1) 抽水回灌引起水位變化帶的主動土壓力增加60%~120%,被動土壓力增加50%左右,因此設計支護結構時,水位變化帶的側壓力應該乘以修正系數。
(2) 基坑周圍有滲流時,主動土壓力增大,被動土壓力減小。
(3) 深層回灌引起承壓水頭抬高,對基坑底部抗隆起不利,應采取間歇式降水控制地下水位持續上升。
(4) 基坑出現(xian)(xian)抽(chou)不干現(xian)(xian)象(xiang)是由于回(hui)灌層選擇不合理。相(xiang)鄰基坑降水回(hui)灌會(hui)相(xiang)互影響,相(xiang)對淺(qian)的(de)(de)基坑深層回(hui)灌時,對相(xiang)對較深的(de)(de)基坑影響更大。

使用微信“掃一掃”功能添加“谷騰環保網”