變壓器噪聲控制技術及裝備
摘 要:介紹并分析了某城市110kV變電站的變壓器噪聲源特點,在滿足其運行工藝、設備性能、聲學效果、經濟、安全的條件下,設計開發了特殊的隔吸聲結構、消聲結構等變壓器降噪裝置,并成功應用于工程實踐中,取得了理想效果。
關鍵詞:變壓器;環境噪聲污染;低頻噪聲;噪聲控制
1 概述
變壓器作為輸變電站的重要設備,在輸電過程中發揮著核心作用,但變壓器噪聲對周圍環境影響很大。某1 1 0 k V變電站共有三個電壓等級,分別為110kV、35kV、10kV,主變容量均為31,500kVA。站內聲源、聲環境、廠界及敏感點的噪聲測量數值顯示,變電站內的聲源主要為兩臺主變壓器。
1#主變壓器:長7.165米,寬4.3米、高度(帶油枕)4 . 8 3米,型號:S F S Z 9 - 3 1 5 0 0 / 1 1 0,容量為31,500kVA,帶有4臺DBF-7Q冷卻風機。
2#主變壓器:長6.855米,寬4.98米、高度(帶油枕)4 . 6 3 5米,型號:S S Z 9 - 3 1 5 0 0 / 1 1 0,容量為31,500kVA,不帶風機。
1.1 噪聲排放標準
110kV變電站執行《工業企業廠界噪聲排放標準》(GB12348—2008)Ⅱ類區標準和《聲環境質量標準》(GB3096—2008)Ⅱ類區標準。
1.2 設備布置(見圖1)
![]() |
![]() |
2 噪聲分析
2.1 噪聲源分析
變壓器噪聲主要由三個聲源產生:磁芯(磁致伸縮和連接處產生的噪聲);線圈(槽壁和磁域)中的電磁力引起的噪聲;冷卻系統的風扇噪聲。線圈是電抗器最主要的噪聲源,噪聲聲壓級隨著負載的增加而增加。
2.2 變壓器噪聲的頻譜特性
從對110kV、31,500kVA變壓器產生噪聲的1/3倍頻程的測試頻譜來看,變壓器噪聲呈明顯的中、低頻特性,在100Hz、200Hz、400Hz頻率上有突出的峰值。圖2是測點聲級為73.0dB的1/3倍頻程噪聲頻譜。
![]() |
變壓器在運行中發出的“嗡嗡”聲,是由于鐵芯在磁通作用下產生磁致伸縮振動所引起的,這種“嗡嗡”聲稱為電磁噪聲。其基頻為供電頻率的2倍,如50Hz的變壓器,則其電磁噪聲的基頻為100Hz。除基頻外,還有高次諧波的噪聲成分。體積較大的變壓器,其諧波峰值頻率較低;而體積較小的變壓器,其諧波峰值頻率較高。
變壓器的電磁噪聲大小與變壓器的功率和鐵芯磁通密度有關,通常功率越大,電磁噪聲越高。
變壓器冷卻風扇噪聲主要有空氣動力性噪聲、機殼、管壁以及電動機軸承等輻射的機械性噪聲以及風機振動帶動變壓器殼體振動輻射的固體聲。因變壓器風扇轉速較高,輻射的噪聲主要集中在中高頻。
3 變壓器噪聲控制設計
3.1 設計目標及原則
(1)滿足電力行業及變電站設備安全運行,滿足環境噪聲要求;
(2)降噪設施應牢固、安全,同時加強免維護性;
(3)為滿足變壓器的更換需要,降噪設施應設計為可拆卸結構;
(4)降噪設施滿足對變壓器的日常巡檢、檢修的要求。降噪設施外形美觀,滿足變電站整體設計要求。
3.2 聲學設計及結構設計
3.2.1 變壓器降噪裝置總體設計
在變壓器近場設計一種有針對性衰減效果的隔聲、消聲、吸聲綜合降噪裝置:
(1)在變壓器前方設置組裝式通風消聲裝置,用以削減直接向敏感點傳播的噪聲;
(2)在通風消聲裝置兩側加裝挑檐式吸聲隔聲屏障,利用消聲裝置與隔聲屏障的組合結構,進一步吸收部分變壓器的聲能量以減少變壓器向外輻射的聲功率,增加整體的聲衰減范圍。
3.2.2 變壓器降噪裝置聲學設計
根據設計降噪量要求,消聲結構采用針對100~630Hz頻帶范圍的噪聲而設計的復合消聲吸聲結構。為防止噪聲繞射,在消聲裝置兩側設計安裝吸聲、隔聲屏障,隔聲層內側進行阻尼處理以提高屏障在吻合區的隔聲量。
具體聲學設計如下:
消聲裝置的聲學設計包括消聲裝置消聲量、降噪裝置聲衰減的計算、復合式吸聲體的吸聲結構設計等。
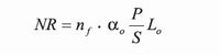
消聲裝置將根據消聲量進行設計并依據工程經驗加以修正,設計計算公式如下:
![]() |
式中:NR — 阻性消聲器聲衰減量(dB);nf — 隨頻率而不同的消聲系數K值的常數項,它是吸聲系數αo和頻率f的函數;αo —駐波管測得的吸聲系數;L0 — 消聲器的有效長度(m);P, S —分別為消聲器通道凈周長和斷面積(m,m2)。
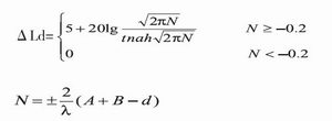
降噪裝置繞射聲衰減的計算公式如下:
![]() |
式中:N — 菲涅爾數;λ — 聲波波長(m);d — 聲源與受聲點之間的直線距離(m);A — 聲源至屏障頂端的距離(m);B — 受聲點至屏障頂端的距離(m)。
3.2.3 變壓器降噪裝置結構、維護檢修設計
變壓器降噪裝置主框架為輕鋼結構,構件之間全部為螺栓連接,充分滿足防腐、防火及檢修時可拆裝的要求。
(1)降噪裝置的下部為進風消聲通道,兩側為吸聲隔聲屏。
(2)通風裝置為分體式結構,分成獨立的降噪單元。
(3)降噪裝置的內側與設備之間留有檢修通道,裝置的高度略高于設備。
3.2.4 消聲裝置空氣動力性能設計
消聲裝置的壓力損失主要包括消聲裝置內的通道壁面與氣流摩擦所產生的壓力損失(摩擦阻損)和裝置內通道彎折、截面變化等局部結構變化導致氣流流動情況的改變所產生的壓力損失(局部阻力)兩個方面。
摩擦阻損計算公式如下:
ΔHλ=λL/de•ρV2/2g
式中:ΔHλ — 摩擦阻損(毫米水柱);λ — 摩擦阻力系數;L — 消聲器長度(m);de — 消聲器通道截面等效直徑 (m);ρ — 氣體密度(kg/m3);V — 氣流速度 (m/s);g — 重力加速度(m/s2)。
局部阻損可用下式估算:
ΔHξ=ξ• ρV2/2g
式中:ΔHξ — 局部阻損(毫米水柱);ξ — 局部阻力系數。消聲器總的阻力損失等于摩擦阻損與局部阻損之和,即
ΔHt=ΔHλ+ΔHξ
根據設備散熱風機的技術參數按通風設計規范,降噪裝置的壓力損失按15Pa設計,以保證降噪裝置安裝后散熱風機的性能不受影響。為降低局部阻力,在保證聲學效果的前提下,消聲裝置的消聲片結構采用低流阻設計,同時在消聲片的兩端安裝圓弧型導流板,減小局部阻力。
3.2.5 變壓器降噪裝置各項性能要求的滿足
(1)裝置的鋼結構件全部采用熱浸鋅防腐處理,連接件選用鍍鋅螺栓。
(2)吸聲體和消聲片的外板及骨架采用鍍鋅鋼板。(3)吸聲材料選用憎水離心玻璃棉,其本身具有相當強的防水和防腐性能。
(4)為增強抗倒塌性能,提高其持續耐火能力,在所有鋼結構的表面涂防火層。保證耐火極限不低于1.5小時。
4 降噪效果
現場測量數據顯示,110kV電站通過對站內兩臺主變壓器安裝通風降噪裝置,居民敏感點噪聲測量值可以降低至47dB以下,達到《工業企業廠界噪聲排放標準》(GB12348—2008)Ⅱ類區標準和《聲環境質量標準》(GB3096—2008)Ⅱ類區標準。
5 結論
本項目研發的變壓器降噪設施,制作工藝簡便,安裝拆卸快捷,重復使用性強,經實際運行檢測滿足降噪設計要求,為變壓器噪聲污染控制技術及裝備的開發利用提供了積極的探索和工程示范。
參考文獻:
[1] 馬大猷.噪聲與振動控制工程手冊[K].北京:機械工業出版社, 2002.9,471-573.
[2] 葉建斌, 陳雁.變電站環境噪聲現場測試分析討論[J]. 廣東電力, 2005,(10):53-56.
[3] 余尤好,陳寶志.大型電力變壓器的噪聲分析與控制[J].變壓器,2007,(6):22-26.

使用微信“掃一掃”功能添加“谷騰環保網”