上海地區生活垃圾衛生填埋場防滲結構方案
綜觀國內外垃圾處理發展過程,由于垃圾填埋具有處理成本較低、操作管理方便,在大部分國家仍處于主導地位。建設垃圾填埋場主要包括:①場地防滲處理;②鋪平、壓實、覆蓋填埋作業工藝及設備;③清污分流與滲瀝液收集;④滲瀝液治理;⑤填埋氣控制與收集;⑥其它項目如滅蠅、除臭、防治鳥類等。其中,防滲工程是衛生填埋場建設的關鍵。
上海地區陸地為沖積平原,地勢低、水位高,為確保充分利用有限的土地資源、延長填埋場使用年限,通常采用開挖填坑與堆高填埋相結合工藝,地基土層大多處于高度積水狀態。土層分布自上而下大致為:人工填土(或耕植土)、褐黃色黏性土、灰色淤泥質粉質黏土、灰色淤泥質黏土、灰色黏性土、暗綠或草黃色黏性土、草黃色砂質粉土、灰色粉細砂、灰色粉質黏土夾粉砂、灰色砂土、蘭灰或綠灰色黏性土等。地區場底土壤的防滲系數達不到國家規定的天然黏土類襯里的防滲要求,需要采用完善的人工防滲措施,將地下水污染控制在最小程度。
1 總體方案
我國CJJ17-2001城市生活垃圾衛生填埋技術規范規定:“黏土類襯里(自然防滲)的填埋場,天然黏土類襯里的滲透系數不應大于1.0×10-7 cm/s,場底及四壁襯里厚度不應小于2m;改良土襯里的防滲性能應達到黏土類防滲性能。當填埋場不具備黏土類襯里或改良土襯里防滲要求時,宜采取自然和人工結合的防滲技術措施。”
目前,國內已建成的填埋場中采用垂直防滲的較典型的填埋場有杭州天子嶺填埋場、蘇州七子山填埋場、上海浦東黎明應急填埋場等,目前均正常運行,但是由于垂直防滲墻體均采用水泥灌漿形式,其防滲系數均為10-6cm/s,并未達到國家標準中要求的10-7cm/s,因此或多或少地有滲瀝液外滲量超標的情況發生。
從我國衛生填埋技術規范看,在人工防滲中,僅對水平防滲系統作了要求。從國內其它地區已有的工程經驗和新建的衛生填埋場實例來看,由于防滲墻的滲透系數不能滿足衛生填埋技術標準的要求,新建的衛生填埋場基本上都采用水平防滲措施,因此,對四期工程新建填埋區,在現行標準下,從技術可靠性出發,推薦采用鋪設人工防滲膜的方案。結合填埋區的場內取土以滿足土方平衡的需要,采用在填埋區周圍打防滲墻的措施作為輔助防滲手段。
2 水平防滲方案
2.1概述
水平防滲的襯層系統通常從垃圾底部向下可依次包括過濾層、排水層(包括滲瀝液收集系統)、保護層和防滲層等。
水平防滲的襯層系統可以分為單層襯層系統、復合襯層系統、雙層襯層系統、多層襯層系統:
單層襯層系統只有一個防滲層,防滲膜上面是保護層和排水層,有時也在下面設下墊層和地下水收集系統。
復合襯層系統是用兩種防滲材料貼在一起構成防滲層,常用的是柔性膜與黏土合在一起,其它層的設置與單層襯層系統相同。
雙層襯層系統包含兩層防滲層,兩層之間是排水層,以導排兩層防滲層之間的液體和氣體,此外,上層防滲膜上面是保護層和排水層,下層防滲膜的下面可以設置地下水收集系統。
2.2構造方式選擇
對單層土工膜襯層防滲性能分析如下:
按國家標準要求的2m厚、滲透系數為1×10-7cm/s的黏土,在假設水頭為0.3m的條件下,底面標準滲透率用達西定律計算為9.94×10-5m3/(m2•d)。
假設人工防滲采用單層土工膜襯墊,當土工膜材料和施工質量“一般”時,其破損情況參照有關資料可以用每4047m2有1個1cm2的小孔來衡量,則其滲透率用伯努利方程計算為3.11×10-4m3/(m2•d)。
為保證土工膜達到較好的防滲效果,有以下3種方式供選擇:
方案一:采用單層土工膜襯墊,要求土工膜材料和施工質量都較好,破損情況更加小。其破損情況以達到每4047m2有1個0.1cm2的小孔計,則其滲透率為3.11×10-5m3/(m2•d)。
方案二:采用雙層防滲系統,少量通過主防滲層的滲瀝液被次防滲層收集、導出,大大減少系統發生滲漏的可能性。
方案三:采用復合防滲系統,土工膜下緊貼膨潤土,由于破損處的滲瀝液是點擴散而不是面擴散,同樣質量的土工膜的滲透量大大降低。而且膜下膨潤土的防滲系數達到10-11m/s,可進一步阻擋滲瀝液的下滲。
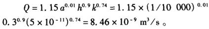
下墊膨潤土按防滲系數5×10-11m/s計,考慮膨潤土墊層的兩側有土工復合土工膜按結合情況較差計算,
![]() |
折合到4047m2為1.81×10-7m3/(m2•d),遠小于國家規定的標準。
隨著工程技術的發展,用于生活垃圾衛生填埋場的襯層系統也在不斷改進,從單層黏土襯層,到單層土工膜襯層、雙層土工膜襯層、單層復合襯層、雙層復合襯層,防滲性能越來越好。
上述分析表明:
方案一采用單層土工膜襯墊,要符合國家衛生填埋標準,需要采用較好的土工膜,當膜本身質量不是十分完美、或者施工及作業過程中出現差錯,都會導致防滲系統失效。因此,上海地區生活垃圾填埋場宜采用更高等級的防滲系統。
方案二的雙層襯層系統和方案三的單層復合襯層系統各有特點:雙層襯層系統的最大特點是主、次防滲膜之間的收集系統可以起到主防滲膜檢漏作用,但當正常情況下極少量滲瀝液穿過HDPE膜,或HDPE膜發生局部破損而滲漏時,對雙層襯層系統而言,滲漏的滲瀝液將流動而分布在整個面上,過水面積大,繼續滲漏量大,而對于復合襯層系統,由于膜與黏土表面緊密連接,具有一定的密封作用,滲瀝液在黏土層上的分布面積很小,因而繼續滲漏量很小,優于雙層襯層系統。復合襯層兩部分之間接觸的緊密程度是控制復合襯層滲漏量的關鍵因素,所以一般不在兩層之間設置土工織物。
從技術上看,單層復合襯層系統的防滲性能優于雙層襯層系統;從經濟上看,對于雙層襯層系統,與單層復合襯層系統相比,省去了土工織物膨潤土毯(GCL),增加了主防滲膜下墊土工布、滲漏液收集層、次防滲膜和次防滲膜上下土工布,單位面積投資增加約70元/m2。
綜合技術和經濟分析,推薦在上海地區采用“單層復合襯層”作為填埋場的水平防滲系統(主防滲系統)。
2.3防滲材料種類選擇
2.3.1主防滲膜材料
柔性膜有多種材料,目前最廣泛使用的填埋場防滲材料是高密度聚乙烯(HDPE)材料,其厚度有1.0mm、1.25mm、1.5mm、2.0mm、 2.5mm等幾種,它具有如下特點:①HDPE膜具有很強的防滲性能,滲透系數達到10-12cm/s;②化學穩定性好,具有較強的抗腐蝕性能,耐酸、堿及抗老化能力,一般來說,抗化學腐蝕能力是襯墊設計中最需要注意的,而HDPE是所有土工膜中抗化學能力最強的一種,生活垃圾滲瀝液不會對HDPE組成的襯墊造成腐蝕,此外,HDPE膜的抗紫外線老化能力強,添加的碳黑可增強對紫外線的防護,而且由于在HDPE土工膜中不允許添加增塑劑,因此不必擔心由于紫外線照射而引起增塑劑的揮發;③機械強度高,具有較強的彈性,其屈服伸長率為13%,當伸長率達到700%以上時發生斷裂;④已經開發了配套的施工焊接方法,技術成熟,便于施工;⑤氣候適應性強,耐低溫;⑥與黏土具有很強的互補性,共同構成防滲結構層,可增加防滲性能;⑦性能價格比較合理。因此,可采用 HDPE膜作為防滲材料。根據我國現行標準,高密度聚乙烯土工膜厚度不應小于1.5mm。
2.3.2次防滲材料選擇
擬采用土工織物膨潤土毯(GCL)作為次防滲材料,它不僅防滲性能良好,相當于60cm厚、10-7cm/s的黏土層,而且可以與HDPE緊密接觸而形成復合防滲結構,滲透量比單層HDPE小2個數量級,防滲效果大大提高。更重要的是,萬一主防滲膜破損漏水,GCL將起到自動修復的功能。
3 垂直防滲
垂直防滲是指在區域邊界處地面以下設計建造一定深度和標準的不透水結構,即防滲漏結構。對垃圾填埋場而言采用垂直防滲必須利用庫區底部的天然相對不透水層作為底部防滲層,垂直防滲結構底部深入天然相對不透水層一定深度,以此控制庫區內地下水的自然排泄和流入,從而使庫區形成一個完整的相對獨立的水文地質單元。
由于上海地區地下水位較高,平均地下水位標高3.0m,平均地面標高3.3m,經清庫處理后,填埋場底平均標高均在地下水位以下,因此地下水勢必對庫底的土工膜產生一定的浮托力。膜上的黏土保護層和碎石導流層的質量尚不能完全抵消浮托力,而且當雨季到來時,場內地下水位將升高,浮托力將增大,此時土工膜上的墊層結構將被破壞。為此,必須考慮機械排除地下水,降低地下水位,減小土工膜所受的浮托力。在庫區底部地下水排除的同時,場外地下水將源源不斷地補充進來,如果不采取輔助措施,機械排水的量將是巨大且持續的,勢必造成運行成本大幅增加,也給填埋作業管理帶來難度。因此,上海地區生活垃圾衛生填埋場應采用垂直防滲作為輔助防滲手段,達到以下效果:大大減少外界地下水的補給;為給場內取土提供了可能,滿足土方平衡;加強填埋庫區的滲瀝液防滲漏系統。
垃圾填埋場垂直防滲結構可以有多種方案,一般可考慮如下幾種:①連續的水泥攪拌樁;②連續的水泥膨潤土混合料攪拌樁;③垂直開槽埋設HDPE膜;④水泥灌漿帷幕。幾種垂直防滲結構比較見表1。
![]() |
由于垂直防滲結構主要用于截斷地下水,同時考慮到場地地基的穩定性,因此可采用連續水泥攪拌樁進行垂直防滲:不僅可以達到國家有關標準要求的防滲等級要求,還能對基礎進行加固,有利于填埋庫區隔堤的施工。
4 結論
4.1上海地區地勢低、水位高,場底土壤的防滲系數達不到國家規定的防滲要求,為將地下水污染控制在最小程度,在上海地區生活垃圾衛生填埋場同時實施完善的水平防滲和垂直防滲是十分必要的。
4.2綜合技術、經濟因素,上海地區可采用“單層復合襯層”作為填埋場的水平防滲系統,其中,主防滲材料采用高密度聚乙烯土工膜、厚度不小于1.5mm,次防滲材料采用土工織物膨潤土毯(GCL)。
4.3從截斷地下水角度,考慮地基穩定性,上海地區可采用“連續水泥攪拌樁”作為填埋場的垂直防滲系統。
5 參考文獻
[1]聶永豐.三廢處理工程技術手冊-固體廢物卷[M].北京:化學工業出版社,2000

使用微信“掃一掃”功能添加“谷騰環保網”