Fenton氧化4-氯酚降解機制研究
摘要(yao):為了深入探討4-氯(lv)(lv)酚(fen)(4-CP)在(zai)Fenton氧化(hua)(hua)體(ti)系中(zhong)(zhong)(zhong)(zhong)的(de)(de)降(jiang)解機(ji)制,利用高(gao)(gao)效液(ye)相色譜(HPLC)等多種手段系統分(fen)析了反(fan)應過程中(zhong)(zhong)(zhong)(zhong)Fe2+、Cl-、氧化(hua)(hua)中(zhong)(zhong)(zhong)(zhong)間(jian)產物對(dui)(dui)(dui)苯(ben)(ben)二酚(fen)、1,4-苯(ben)(ben)醌(kun)、4-氯(lv)(lv)鄰(lin)苯(ben)(ben)二酚(fen)和(he)4-氯(lv)(lv)間(jian)苯(ben)(ben)二酚(fen)的(de)(de)濃(nong)度(du)(du)以及氧化(hua)(hua)還(huan)原電位(ORP)的(de)(de)變(bian)化(hua)(hua)規(gui)律。研究(jiu)結果表明,Fe2+濃(nong)度(du)(du)經(jing)歷了短暫的(de)(de)下降(jiang)之后迅速上(shang)升到(dao)接近初始(shi)的(de)(de)水平(ping),Fe2+/Fe3+的(de)(de)相互轉化(hua)(hua)過程可(ke)(ke)以通過ORP的(de)(de)變(bian)化(hua)(hua)得到(dao)較靈敏的(de)(de)反(fan)映。通過對(dui)(dui)(dui)中(zhong)(zhong)(zhong)(zhong)間(jian)產物對(dui)(dui)(dui)苯(ben)(ben)二酚(fen)和(he)1,4-苯(ben)(ben)醌(kun)變(bian)化(hua)(hua)規(gui)律的(de)(de)分(fen)析發現(xian),反(fan)應中(zhong)(zhong)(zhong)(zhong)生(sheng)成的(de)(de)對(dui)(dui)(dui)苯(ben)(ben)二酚(fen)和(he)對(dui)(dui)(dui)苯(ben)(ben)醌(kun)可(ke)(ke)以互相轉化(hua)(hua),對(dui)(dui)(dui)苯(ben)(ben)二酚(fen)對(dui)(dui)(dui)Fe3+的(de)(de)還(huan)原可(ke)(ke)能導(dao)致了體(ti)系中(zhong)(zhong)(zhong)(zhong)Fe2+高(gao)(gao)比例的(de)(de)存在(zai),從而提高(gao)(gao)了反(fan)應速度(du)(du)。研究(jiu)還(huan)發現(xian),羥基自由基與(yu)4-氯(lv)(lv)酚(fen)的(de)(de)反(fan)應主要(yao)通過鄰(lin)、對(dui)(dui)(dui)位取代進行(xing),但反(fan)應中(zhong)(zhong)(zhong)(zhong)也有少量間(jian)位取代物的(de)(de)生(sheng)成。
關鍵(jian)詞:Fenton氧化技術,4-氯酚,降解(jie)途(tu)徑,中間產(chan)物(wu)
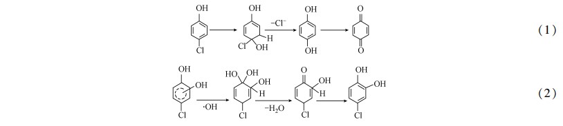
氯(lv)酚(fen)(fen)類化(hua)合物產(chan)生于造紙、塑料(liao)生產(chan)、農藥等(deng)多種生產(chan)過程(cheng),是水(shui)環境中常見(jian)的(de)(de)一類生物難降(jiang)解有機污染物。有人(ren)嘗試利用(yong)光催(cui)化(hua)氧化(hua)、電催(cui)化(hua)氧化(hua)、鐵屑還原、離(li)子(zi)輻解等(deng)技術來解決(jue)水(shui)中氯(lv)酚(fen)(fen)類化(hua)合物的(de)(de)去(qu)除問題。近(jin)年來,針(zhen)對(dui)Fenton氧化(hua)4-氯(lv)酚(fen)(fen)的(de)(de)研究(jiu)很多。通過中間(jian)產(chan)物測定,人(ren)們發現在(zai)Fenton氧化(hua)過程(cheng)中,4-氯(lv)酚(fen)(fen)在(zai)羥(qian)基(ji)自由基(ji)的(de)(de)攻擊下經(jing)脫(tuo)氯(lv)反應生成對(dui)苯(ben)二(er)酚(fen)(fen),再經(jing)過電子(zi)轉移或Fe3+的(de)(de)氧化(hua)生成苯(ben)醌(1)或通過鄰(lin)位抽(chou)氫反應生成4-氯(lv)鄰(lin)苯(ben)二(er)酚(fen)(fen)(2)。
![]() |
鄭璐等通(tong)過(guo)脈(mo)沖輻(fu)解研究了羥(qian)基(ji)(ji)(ji)自(zi)由(you)基(ji)(ji)(ji)與4-氯酚在酸性(xing)條件下的反應,推(tui)測羥(qian)基(ji)(ji)(ji)通(tong)過(guo)親電反應生成氯代酚氧自(zi)由(you)基(ji)(ji)(ji),進而同時生成1,4-苯(ben)(ben)醌和(he)對苯(ben)(ben)二(er)酚(3)。也有(you)研究者認(ren)為(wei),苯(ben)(ben)醌可(ke)以加快Fe3+的還原,進而提高Fenton氧化速度(du),但是還沒有(you)直(zhi)接和(he)綜合的證據(ju)。
![]() |
本研究(jiu)通過(guo)測定ORP以及Cl-、Fe2+及多種4-氯酚(fen)降(jiang)解關鍵(jian)中間產物(wu)的濃度,探討了4-氯酚(fen)在Fenton氧化(hua)過(guo)程中的降(jiang)解機(ji)制,對于提高(gao)Fenton氧化(hua)4-氯酚(fen)的效(xiao)率具有(you)重要意(yi)義。

使用微信“掃一掃”功能添加“谷騰環保網”
如果需要了解更加詳細的內容,請點擊下載 201401151014227300.rar
下載該附件請登錄,如果還不是本網會員,請先注冊